| Achemica | Switzerland | |||
|---|---|---|---|---|
![]() |
+41 (24) 466-2929 | |||
![]() |
contact@achemica.com | |||
| Chemical manufacturer since 2010 | ||||
| Atomax Chemicals Co., Ltd. | China | |||
|---|---|---|---|---|
![]() |
+86 13417589054/ | |||
![]() |
info@atomaxchem.com,atomax.chemicals@gmail.com | |||
![]() |
QQ Chat | |||
| Chemical manufacturer | ||||
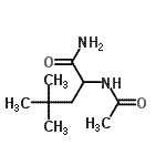
| Name | N2-Acetyl-4-Methylleucinamide |
|---|---|
| Synonyms | 2-acetamido-4,4-dimethylpentanamide |
| Molecular Structure | ![]() |
| Molecular Formula | C9H18N2O2 |
| Molecular Weight | 186.25 |
| CAS Registry Number | 172485-73-3 |
| SMILES | CC(=O)NC(CC(C)(C)C)C(=O)N |
| InChI | 1S/C9H18N2O2/c1-6(12)11-7(8(10)13)5-9(2,3)4/h7H,5H2,1-4H3,(H2,10,13)(H,11,12) |
| InChIKey | SROJQUUSXIGTCO-UHFFFAOYSA-N |
| Density | 1.011g/cm3 (Cal.) |
|---|---|
| Boiling point | 393.06°C at 760 mmHg (Cal.) |
| Flash point | 191.516°C (Cal.) |
| Refractive index | 1.464 (Cal.) |
| Market Analysis Reports |