Online Database of Chemicals from Around the World

2-Ethoxy-4,4,5,5-Tetraethynyl-1,3-Dioxolane
[CAS 180722-58-1]

Suppliers
Atomax Chemicals Co., Ltd. China
+86 13417589054/
info@atomaxchem.com,atomax.chemicals@gmail.com
QQ Chat
Chemical manufacturer
Identification
Name 2-Ethoxy-4,4,5,5-Tetraethynyl-1,3-Dioxolane
Synonyms 2-ethoxy-4,4,5,5-tetraethynyl-1,3-dioxolane
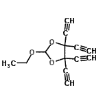
Molecular Structure CAS#: 180722-58-1, 2-Ethoxy-4,4,5,5-Tetraethynyl-1,3-Dioxolane
Molecular Formula C13H10O3
Molecular Weight 214.22
CAS Registry Number 180722-58-1
SMILES CCOC1OC(C(O1)(C#C)C#C)(C#C)C#C
InChI 1S/C13H10O3/c1-6-12(7-2)13(8-3,9-4)16-11(15-12)14-10-5/h1-4,11H,10H2,5H3
InChIKey OXHNAPFKKNWRCU-UHFFFAOYSA-N
Properties
Density 1.162g/cm3 (Cal.)
Boiling point 246.211°C at 760 mmHg (Cal.)
Flash point 80.519°C (Cal.)
Refractive index 1.527 (Cal.)
Market Analysis Reports
Related Products
2-Ethoxy-3-(Ste...  4-Ethoxystyrene...  2-Ethoxysuccina...  1-(6-Ethoxy-2-S...  2-Ethoxysulfony...  Ethoxysulfuron;...  6-[4-[[4-[(4-Et...  4'-Ethoxy-2,2':...  14-Ethoxytetrad...  1-Ethoxytetrade...  1-(2-Ethoxy-3,3...  1-Ethoxy-2,2,3,...  1-Ethoxy-2-(1,1...  (4-Ethoxy-2,3,5...  2-Ethoxy-2,3,3,...  4-Ethoxy-2,3,5,...  1-Ethoxy-1,3,3,...  2-Ethoxy-4,5,6,...  7-Ethoxy-1,3,4,...  4-Ethoxy-6,7,8,...