Online Database of Chemicals from Around the World

Thymidylyl-(3'-5')-Thymidine Cyanoethyl Phosphotriester
[CAS 18875-74-6]

Suppliers
CAS#: 18875-74-6
Product: Thymidylyl-(3'-5')-Thymidine Cyanoethyl Phosphotriester
No suppilers available for the product.
Identification
Name Thymidylyl-(3'-5')-Thymidine Cyanoethyl Phosphotriester
Synonyms [(2R,3S,5R)-2-[[3-Cyano-1-[(2S,3S,5R)-3-Hydroxy-5-(5-Methyl-2,4-Dioxo-Pyrimidin-1-Yl)Tetrahydrofuran-2-Yl]Propoxy]Methyl]-5-(5-Methyl-2,4-Dioxo-Pyrimidin-1-Yl)Tetrahydrofuran-3-Yl] Dihydrogen Phosphate; [(2R,3S,5R)-2-[[3-Cyano-1-[(2S,3S,5R)-3-Hydroxy-5-(5-Methyl-2,4-Dioxo-1-Pyrimidinyl)-2-Tetrahydrofuranyl]Propoxy]Methyl]-5-(5-Methyl-2,4-Dioxo-1-Pyrimidinyl)-3-Tetrahydrofuranyl] Dihydrogen Phosphate; [(2R,3S,5R)-2-[[3-Cyano-1-[(2S,3S,5R)-5-(2,4-Diketo-5-Methyl-Pyrimidin-1-Yl)-3-Hydroxy-Tetrahydrofuran-2-Yl]Propoxy]Methyl]-5-(2,4-Diketo-5-Methyl-Pyrimidin-1-Yl)Tetrahydrofuran-3-Yl] Dihydrogen Phosphate
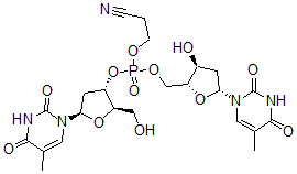
Molecular Structure CAS#: 18875-74-6, Thymidylyl-(3'-5')-Thymidine Cyanoethyl Phosphotriester
Molecular Formula C23H30N5O12P
Molecular Weight 599.49
CAS Registry Number 18875-74-6
SMILES [C@H]1(O[C@@H]([C@@H](O[P](=O)(O)O)C1)COC([C@H]3O[C@@H](N2C(=O)NC(=O)C(=C2)C)C[C@@H]3O)CCC#N)N4C(=O)NC(=O)C(=C4)C
InChI 1S/C23H30N5O12P/c1-11-8-27(22(32)25-20(11)30)17-6-13(29)19(39-17)14(4-3-5-24)37-10-16-15(40-41(34,35)36)7-18(38-16)28-9-12(2)21(31)26-23(28)33/h8-9,13-19,29H,3-4,6-7,10H2,1-2H3,(H,25,30,32)(H,26,31,33)(H2,34,35,36)/t13-,14?,15-,16+,17+,18+,19-/m0/s1
InChIKey WSXHDZTZPLYYCD-ITJOUXGCSA-N
Market Analysis Reports
Related Products
Thymidylyl-(5'-...  Thymidylyl-(5'-...  Thymidylyl-(3'→...  Thymidylyl-(3'-...  Thymidylyl-(3',...  Thymidylyl-(5'-...  Thymidylyl-(5'-...  Thymidylyl-(3'-...  Thymidylyl(3'->...  Thymidylyl[3'-5...  Thymidylyl-(3'-...  Thymidylyl-(5'-...  Thyminalkylamin...  Thymine;5-Methy...  Thymine 1-beta-...  Thymine-N(1)-2-...  5-Thyminyl-5,6-...  Thymoctonan;(2S...  Thymol;2-Isopro...  Thymol Acetate;...