| Chengdu Biopurify Phytochemicals Ltd. | China | |||
|---|---|---|---|---|
![]() | www.phytopurify.com | |||
![]() | +86 (28) 8263-3860 8263-3987 | |||
![]() | +86 (28) 8263-3165 | |||
![]() | sales@biopurify.com biopurify@gmail.com | |||
![]() | QQ Chat | |||
![]() | Skype Chat | |||
| Chemical manufacturer | ||||
| chemBlink Standard supplier since 2017 | ||||
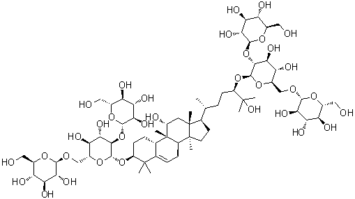
| Name | Mogroside VI |
|---|---|
| Synonyms | (3beta,9beta,10alpha,11alpha,24R)-11,25-Dihydroxy-9-methyl-19-norlanost-5-ene-3,24-diyl bis[O-beta-D-glucopyranosyl-(1→2)-O-[beta-D-glucopyranosyl-(1→6)]-beta-D-glucopyranoside |
| Molecular Structure | ![]() |
| Molecular Formula | C66H112O34 |
| Molecular Weight | 1449.58 |
| CAS Registry Number | 189307-15-1 |
| Solubility | Insoluble (1.4E-3 g/L) (25 °C), Calc.* |
|---|---|
| Density | 1.55±0.1 g/cm3 (20 °C 760 Torr), Calc.* |
| * | Calculated using Advanced Chemistry Development (ACD/Labs) Software V11.02 (©1994-2016 ACD/Labs) |
| Market Analysis Reports |