Online Database of Chemicals from Around the World

Arabinohexaose
[CAS 190852-26-7]

List of Suppliers
Carbosynth China Ltd. China
www.carbosynth.cn
+86 (512) 6260-5585
+86 (512) 6260-5576
sales@carbosynth.com
QQ Chat
Chemical manufacturer since 2006
chemBlink Standard supplier since 2016

Identification
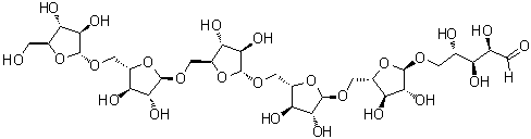
NameArabinohexaose
SynonymsO-alpha-L-Arabinofuranosyl-(1→5)-O-alpha-L-arabinofuranosyl-(1→5)-O-alpha-L-arabinofuranosyl-(1→5)-O-alpha-L-arabinofuranosyl-(1→5)-O-alpha-L-arabinofuranosyl-(1→5)-L-arabinose
Molecular StructureArabinohexaose molecular structure (CAS 190852-26-7)
Molecular FormulaC30H50O25
Molecular Weight810.70
CAS Registry Number190852-26-7
EC Number894-820-3
Properties
SolubilitySparingly soluble (14 g/L) (25 °C), Calc.*
Density1.77±0.1 g/cm3 (20 °C 760 Torr), Calc.*
*Calculated using Advanced Chemistry Development (ACD/Labs) Software V11.02 (©1994-2016 ACD/Labs)
Market Analysis Reports
Related Products
1-beta-D-Arabin...  1-beta-Arabinof...  7-beta-D-Arabin...  1-beta-D-Arabin...  2-beta-Arabinof...  1-Arabinofurano...  1-beta-Arabinof...  Arabinofuranosy...  O-alpha-L-Arabi...  3-Arabinoglucos...  Arabino-3-Hexul...  L-arabino-2-Hex...  D-arabino-2-Hex...  D-arabino-2-Hex...  L-Arabinoic Aci...  Arabinonate-5-P...  Arabinonic Acid  D-Arabinonic Ac...  D-Arabinonic ac...  D-Arabinonic ac...