Identification
| Name |
Gly(7)-Oxytocin |
| Synonyms |
(4R,7S,10S,16S,19R)-19-Amino-7-(2-Amino-2-Oxo-Ethyl)-N-[2-[[(1S)-1-[(2-Amino-2-Oxo-Ethyl)Carbamoyl]-3-Methyl-Butyl]Amino]-2-Oxo-Ethyl]-10-(3-Amino-3-Oxo-Propyl)-16-[(4-Hydroxyphenyl)Methyl]-6,9,12,15,18-Pentaoxo-13-Sec-Butyl-1,2-Dithia-5,8,11,14,17-Pentazacycloicosane-4-Carboxamide; (4R,7S,10S,16S,19R)-19-Amino-7-(2-Amino-2-Oxoethyl)-N-[2-[[(1S)-1-[[(2-Amino-2-Oxoethyl)Amino]-Oxomethyl]-3-Methylbutyl]Amino]-2-Oxoethyl]-10-(3-Amino-3-Oxopropyl)-16-[(4-Hydroxyphenyl)Methyl]-6,9,12,15,18-Pentaoxo-13-Sec-Butyl-1,2-Dithia-5,8,11,14,17-Pentazacycloicosane-4-Carboxamide; (4R,7S,10S,16S,19R)-19-Amino-7-(2-Amino-2-Keto-Ethyl)-N-[2-[[(1S)-1-[(2-Amino-2-Keto-Ethyl)Carbamoyl]-3-Methyl-Butyl]Amino]-2-Keto-Ethyl]-10-(3-Amino-3-Keto-Propyl)-16-(4-Hydroxybenzyl)-6,9,12,15,18-Pentaketo-13-Sec-Butyl-1,2-Dithia-5,8,11,14,17-Pentazacycloicosane-4-Carboxamide |
|
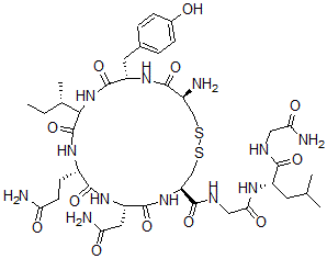
| Molecular Structure |
 |
| Molecular Formula |
C40H62N12O12S2 |
| Molecular Weight |
967.12 |
| CAS Registry Number |
19748-53-9 |
| SMILES |
[C@H]1(NC(=O)C(NC(=O)[C@@H](NC(=O)[C@@H](N)CSSC[C@H](NC(=O)[C@@H](NC1=O)CC(=O)N)C(=O)NCC(=O)N[C@H](C(=O)NCC(=O)N)CC(C)C)CC2=CC=C(O)C=C2)[C@H](CC)C)CCC(=O)N |
| InChI |
1S/C40H62N12O12S2/c1-5-20(4)33-40(64)48-24(10-11-29(42)54)37(61)50-27(14-30(43)55)38(62)51-28(36(60)46-16-32(57)47-25(12-19(2)3)35(59)45-15-31(44)56)18-66-65-17-23(41)34(58)49-26(39(63)52-33)13-21-6-8-22(53)9-7-21/h6-9,19-20,23-28,33,53H,5,10-18,41H2,1-4H3,(H2,42,54)(H2,43,55)(H2,44,56)(H,45,59)(H,46,60)(H,47,57)(H,48,64)(H,49,58)(H,50,61)(H,51,62)(H,52,63)/t20-,23-,24-,25-,26-,27-,28-,33?/m0/s1 |
| InChIKey |
RFRDFBYIYZCKTO-AGDWTCHZSA-N |
|