Online Database of Chemicals from Around the World

Di-tetrabutylammonium cis-bis(isothiocyanato)bis(2,2'-bipyridyl-4,4'-dicarboxylato)ruthenium(II)
[CAS 207347-46-4]

List of Suppliers
HetCat - Heterocycles & Catalysts Switzerland
www.hetcat.com
+41 (61) 363-9868
+41 (61) 363-9869
fallahpour@hetcat.com
Chemical manufacturer
Organica Feinchemie GmbH Germany
www.organica.de
+49 (3494) 63-6215
+49 (3494) 63-6165
dmi@weylchem-organica.com
Chemical manufacturer

Identification
ClassificationPharmaceutical intermediate >> Heterocyclic compound intermediate >> Pyridine compound >> Cyanopyridine
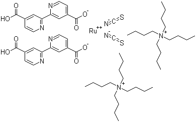
NameDi-tetrabutylammonium cis-bis(isothiocyanato)bis(2,2'-bipyridyl-4,4'-dicarboxylato)ruthenium(II)
Molecular StructureDi-tetrabutylammonium cis-bis(isothiocyanato)bis(2,2'-bipyridyl-4,4'-dicarboxylato)ruthenium(II) molecular structure (CAS 207347-46-4)
Molecular FormulaC58H86N8O8RuS2
Molecular Weight1188.55
CAS Registry Number207347-46-4
EC Number633-801-4
Safety Data
Hazard Symbolssymbol   Xn  Details
Risk StatementsR42/43  Details
Safety StatementsS22;S36/37;S45  Details
Hazard Classification
up    Details
HazardClassCategory CodeHazard Statement
Respiratory sensitizationResp. Sens.1H334
Skin sensitizationSkin Sens.1H317
Substances or mixtures corrosive to metalsMet. Corr.1H290
Acute toxicityAcute Tox.4H302
Flammable solidsFlam. Sol.2H228
Acute toxicityAcute Tox.4H332
Eye irritationEye Irrit.2H319
Acute toxicityAcute Tox.4H312
Skin irritationSkin Irrit.2H315
Chronic hazardous to the aquatic environmentAquatic Chronic4H413
SDSAvailable
Market Analysis Reports
Related Products
2,2-Di(Tert-Pen...  2,4-Di-tert-pen...  3-(2-(2,4-Di-te...  2-(2,4-Di-tert-...  N-[4-(2,4-Di-Te...  4-(2,4-Di-tert-...  3-[3-[[2-(2,4-D...  2-[2,4-Di-Tert-...  2-(2,4-Di-Tert-...  Di-tert-tetrade...  Ditetradecenyl ...  Di(Tetradecoxy)...  2,3-Di(Tetradec...  Ditetradecyl Ad...  N,N-Ditetradecy...  1,2-Ditetradecy...  Ditetradecyl (E...  Ditetradecyl Gl...  1,2-O-Ditetrade...  Ditetradecyl Hy...