Online Database of Chemicals from Around the World

Circulin B
[CAS 20905-50-4]

Suppliers
CAS#: 20905-50-4
Product: Circulin B
No suppilers available for the product.
Identification
Name Circulin B
Synonyms N-[(1S)-3-Amino-1-[[(2R)-1-[[3-Amino-1-[[(6R,9S,15S,18S,21S)-6,9,18-Tris(2-Aminoethyl)-3-(1-Hydroxyethyl)-15-Isobutyl-2,5,8,11,14,17,20-Heptaoxo-12-Sec-Butyl-1,4,7,10,13,16,19-Heptazacyclotricos-21-Yl]Carbamoyl]Propyl]Carbamoyl]-2-Hydroxy-Propyl]Carbamoyl]Propyl]-6-Methyl-Heptanamide; N-[(1S)-3-Amino-1-[[[(2R)-1-[[[3-Amino-1-[Oxo-[[(6R,9S,15S,18S,21S)-6,9,18-Tris(2-Aminoethyl)-3-(1-Hydroxyethyl)-15-Isobutyl-2,5,8,11,14,17,20-Heptaoxo-12-Sec-Butyl-1,4,7,10,13,16,19-Heptazacyclotricos-21-Yl]Amino]Methyl]Propyl]Amino]-Oxomethyl]-2-Hydroxypropyl]Amino]-Oxomethyl]Propyl]-6-Methylheptanamide; N-[(1S)-3-Amino-1-[[(2R)-1-[[3-Amino-1-[[(6R,9S,15S,18S,21S)-6,9,18-Tris(2-Aminoethyl)-3-(1-Hydroxyethyl)-15-Isobutyl-2,5,8,11,14,17,20-Heptaketo-12-Sec-Butyl-1,4,7,10,13,16,19-Heptazacyclotricos-21-Yl]Carbamoyl]Propyl]Carbamoyl]-2-Hydroxy-Propyl]Carbamoyl]Propyl]-6-Methyl-Enanthamide
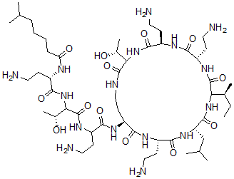
Molecular Structure CAS#: 20905-50-4, Circulin B
Molecular Formula C52H98N16O13
Molecular Weight 1155.45
CAS Registry Number 20905-50-4
SMILES [C@H]1(NC(=O)[C@@H](NC(=O)[C@@H](NC(=O)C(NC(=O)C(NC(=O)[C@@H](NC(=O)CCCCC(C)C)CCN)[C@H](O)C)CCN)CCNC(=O)C(NC(=O)[C@H](NC(=O)[C@@H](NC(=O)C(NC1=O)[C@H](CC)C)CCN)CCN)[C@H](O)C)CCN)CC(C)C
InChI 1S/C52H98N16O13/c1-9-29(6)40-51(80)63-34(16-22-55)43(72)61-36(18-24-57)48(77)67-41(30(7)69)50(79)58-25-19-37(46(75)60-33(15-21-54)45(74)65-38(26-28(4)5)49(78)66-40)62-44(73)35(17-23-56)64-52(81)42(31(8)70)68-47(76)32(14-20-53)59-39(71)13-11-10-12-27(2)3/h27-38,40-42,69-70H,9-26,53-57H2,1-8H3,(H,58,79)(H,59,71)(H,60,75)(H,61,72)(H,62,73)(H,63,80)(H,64,81)(H,65,74)(H,66,78)(H,67,77)(H,68,76)/t29-,30+,31+,32-,33-,34-,35?,36+,37-,38-,40?,41?,42?/m0/s1
InChIKey DRHFCEIZVVAMEH-LKUIRFIBSA-N
Market Analysis Reports
Related Products
Ciproquinate;6,...  Ciprostene;(5Z)...  Ciprostene calc...  Ciproxidine;1-[...  Ciproximide;1-(...  Ciramadol;Ciram...  Ciramadol;Ciram...  Cirazoline Hydr...  Cirazoline Hydr...  Circulin A;N-[(...  Cirensenoside G...  Cirensenoside H  Cirenshenoside ...  Cirramycin F2;2...  Cirramycin A1;2...  Cirsilineol;Ani...  Cirsiliol;6-Hyd...  Cirsimarin;2-[4...  Cirsimaritin  Cirsiumaldehyde...