| Tocris Bioscience Inc. | USA | |||
|---|---|---|---|---|
![]() |
+1 (636) 207-7651 | |||
![]() |
marketing@tocrisusa.com | |||
| Chemical manufacturer since 1982 | ||||
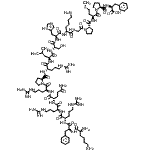
| Name | L-Lysyl-L-Phenylalanyl-L-Arginyl-L-Arginyl-L-Glutaminyl-L-Arginyl-L-Prolyl-L-Arginyl-L-Leucyl-L-Seryl-L-Histidyl-L-Lysylglycyl-L-Prolyl-L-Methionyl-L-Prolyl-L-Phenylalanine |
|---|---|
| Synonyms | Apelin-17 (human, bovine); K17F; K17F | Prepro-61-77-Apelin | |
| Molecular Structure | ![]() |
| Molecular Formula | C96H155N34O20S |
| Molecular Weight | 2138.55 |
| CAS Registry Number | 217082-57-0 |
| SMILES | CC(C)C[C@@H](C(=O)N[C@@H](CO)C(=O)N[C@@H](CC1=CNC=N1)C(=O)N[C@@H](CCCCN)C(=O)NCC(=O)N2CCC[C@H]2C(=O)N[C@@H](CCSC)C(=O)N3CCC[C@H]3C(=O)N[C@@H](CC4=CC=CC=C4)C(=O)O)NC(=O)[C@H](CCCNC(=N)N)NC(=O)[C@@H]5CCCN5C(=O)[C@H](CCCNC(=N)N)NC(=O)[C@H](CCC(=O)N)NC(=O)[C@H](CCCNC(=N)N)NC(=O)[C@H](CCCNC(=N)N)NC(=O)[C@H](CC6=CC=CC=C6)NC(=O)[C@H](CCCCN)N |
| InChI | 1S/C96H156N34O20S/c1-55(2)47-67(83(140)127-71(53-131)86(143)125-69(50-58-51-109-54-115-58)85(142)116-60(26-11-13-38-98)78(135)114-52-76(133)128-43-18-31-72(128)87(144)122-66(36-46-151-3)91(148)130-45-20-33-74(130)89(146)126-70(92(149)150)49-57-23-8-5-9-24-57)124-81(138)63(29-16-41-112-95(105)106)120-88(145)73-32-19-44-129(73)90(147)65(30-17-42-113-96(107)108)121-82(139)64(34-35-75(100)132)119-80(137)61(27-14-39-110-93(101)102)117-79(136)62(28-15-40-111-94(103)104)118-84(141)68(48-56-21-6-4-7-22-56)123-77(134)59(99)25-10-12-37-97/h4-9,21-24,51,54-55,59-74,131H,10-20,25-50,52-53,97-99H2,1-3H3,(H2,100,132)(H,109,115)(H,114,135)(H,116,142)(H,117,136)(H,118,141)(H,119,137)(H,120,145)(H,121,139)(H,122,144)(H,123,134)(H,124,138)(H,125,143)(H,126,146)(H,127,140)(H,149,150)(H4,101,102,110)(H4,103,104,111)(H4,105,106,112)(H4,107,108,113)/t59-,60-,61-,62-,63-,64-,65-,66-,67-,68-,69-,70-,71-,72-,73-,74-/m0/s1 |
| InChIKey | SVWSKJCJNAIKNH-MJZUAXFLSA-N |
| Density | 1.5±0.1g/cm3 (Cal.) |
|---|---|
| Refractive index | 1.688 (Cal.) |
| solubility | Soluble to 1.20 mg/ml in water |
| Market Analysis Reports |