| Achemica | Switzerland | |||
|---|---|---|---|---|
![]() |
+41 (24) 466-2929 | |||
![]() |
contact@achemica.com | |||
| Chemical manufacturer since 2010 | ||||
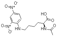
| Name | N(2)-Acetyl-N(6)-(2,4-Dinitrophenyl)Lysine |
|---|---|
| Synonyms | N(2)-Acetyl-N(6)-(2,4-Dinitrophenyl)Lysine; N-Adnpl; L-Lysine, N2-Acetyl-N6-(2,4-Dinitrophenyl)- |
| Molecular Structure | ![]() |
| Molecular Formula | C14H18N4O7 |
| Molecular Weight | 354.32 |
| CAS Registry Number | 22619-87-0 |
| SMILES | [C@H](C(=O)O)(NC(=O)C)CCCCNC1=CC=C(C=C1[N+](=O)[O-])[N+](=O)[O-] |
| InChI | 1S/C14H18N4O7/c1-9(19)16-12(14(20)21)4-2-3-7-15-11-6-5-10(17(22)23)8-13(11)18(24)25/h5-6,8,12,15H,2-4,7H2,1H3,(H,16,19)(H,20,21)/t12-/m0/s1 |
| InChIKey | QFBZXFVWBHWWLX-LBPRGKRZSA-N |
| Density | 1.423g/cm3 (Cal.) |
|---|---|
| Boiling point | 686.231°C at 760 mmHg (Cal.) |
| Flash point | 368.819°C (Cal.) |
| Market Analysis Reports |