Online Database of Chemicals from Around the World

5-(Dimethylsilyl)-3-[(4-Methoxybenzyl)Oxy]-4-[(2-Methyl-2-Propanyl)Oxy]-8-Oxa-6-Thiabicyclo[3.2.1]Oct-2-Yl Acetate
[CAS 228115-75-1]

Suppliers
CAS#: 228115-75-1
Product: 5-(Dimethylsilyl)-3-[(4-Methoxybenzyl)Oxy]-4-[(2-Methyl-2-Propanyl)Oxy]-8-Oxa-6-Thiabicyclo[3.2.1]Oct-2-Yl Acetate
No suppilers available for the product.
Identification
Name 5-(Dimethylsilyl)-3-[(4-Methoxybenzyl)Oxy]-4-[(2-Methyl-2-Propanyl)Oxy]-8-Oxa-6-Thiabicyclo[3.2.1]Oct-2-Yl Acetate
Synonyms 5-(Dimethylsilyl)-3-[(4-methoxybenzyl)oxy]-4-[(2-methyl-2-propanyl)oxy]-8-oxa-6-thiabicyclo[3.2.1]oct-2-yl acetate (non-preferred name); 5-(Dimethylsilyl)-3-[(4-methoxybenzyl)oxy]-4-[(2-methyl-2-propanyl)oxy]-8-oxa-6-thiabicyclo[3.2.1]oct-2-yl-acetat (non-preferred name); Acétate de 5-(diméthylsilyl)-3-[(4-méthoxybenzyl)oxy]-4-[(2-méthyl-2-propanyl)oxy]-8-oxa-6-thiabicyclo[3.2.1]oct-2-yle (non-preferred name)
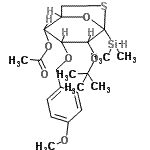
Molecular Structure CAS#: 228115-75-1, 5-(Dimethylsilyl)-3-[(4-Methoxybenzyl)Oxy]-4-[(2-Methyl-2-Propanyl)Oxy]-8-Oxa-6-Thiabicyclo[3.2.1]Oct-2-Yl Acetate
Molecular Formula C22H34O6SSi
Molecular Weight 454.65
CAS Registry Number 228115-75-1
SMILES CC(=O)OC1C2CSC(O2)(C(C1OCc3ccc(cc3)OC)OC(C)(C)C)[SiH](C)C
InChI 1S/C22H34O6SSi/c1-14(23)26-18-17-13-29-22(27-17,30(6)7)20(28-21(2,3)4)19(18)25-12-15-8-10-16(24-5)11-9-15/h8-11,17-20,30H,12-13H2,1-7H3
InChIKey WMZNQHRXMGKYRF-UHFFFAOYSA-N
Properties
Boiling point 510.2±50.0°C at 760 mmHg (Cal.)
Flash point 262.4±30.1°C (Cal.)
Refractive index (Cal.)
Market Analysis Reports
Related Products
[(Dimethylsilyl...  N,N'-(Dimethyls...  rac-Dimethylsil...  Rac-(Dimethylsi...  2,2'-[(Dimethyl...  rac-Dimethylsil...  Dimethylsilylen...  5-(Dimethylsily...  5-(Dimethylsily...  [1-[5-[1-Dimeth...  4-(Dimethylsily...  2-[(Dimethylsil...  1-(Dimethylsily...  (4-(Dimethylsil...  3-(Dimethylsily...  2-(Dimethylsily...  3-(Dimethylsily...  4-(Dimethylsily...  1-(Dimethylsily...  3-(Dimethylsily...