Online Database of Chemicals from Around the World

Dibutylmalonic Acid
[CAS 2283-16-1]

Suppliers
Achemica Switzerland
+41 (24) 466-2929
contact@achemica.com
Chemical manufacturer since 2010
Ryan Scientific, Inc. USA
+1 (843)-884-4911
sales@ryansci.com
Chemical manufacturer
Identification
Name Dibutylmalonic Acid
Synonyms 2,2-dibutylpropanedioic acid; InChI=1/C11H20O4/c1-3-5-7-11(9(12)13,10(14)15)8-6-4-2/h3-8H2,1-2H3,(H,12,13)(H,14,15)/f/h12,14H
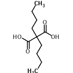
Molecular Structure CAS#: 2283-16-1, Dibutylmalonic Acid
Molecular Formula C11H20O4
Molecular Weight 216.27
CAS Registry Number 2283-16-1
SMILES CCCCC(CCCC)(C(=O)O)C(=O)O
InChI rd-copy-button" onmouseover="ClipboardCopyInit(this,
Properties
Density 1.1±0.1g/cm3 (Cal.)
Boiling point 370.6±25.0°C at 760 mmHg (Cal.)
Flash point 192.1±19.7°C (Cal.)
Refractive index 1.475 (Cal.)
Market Analysis Reports
Related Products
Dibutyl Iodomet...  Dibutyl isobuty...  2,6-Dibutyl-4-i...  Dibutyl Isophth...  3,9-Dibutyl-6-I...  N,N-Dibutyllact...  Dibutylmagnesiu...  Dibutylmalate;2...  Dibutyl Malate;...  Dibutyl maleate...  Dibutyl Mercapt...  Dibutyl Mercury...  [Dibutyl-[(E)-4...  [2,2-Dibutyl-3-...  N,N-Dibutyl-2-M...  N,N-Dibutyl-2-M...  N,N-Dibutyl-3-M...  N,N-Dibutyl-N-m...  N,N-Dibutyl-N-M...  2,2-Dibutyl-3-M...