|
CAS#: 23092-97-9 Product: Dehydroretrorsine No suppilers available for the product. |
| Name | Dehydroretrorsine |
|---|---|
| Synonyms | Dehydroretrorsine; Dehydroretrosine; Retrorsine Didehydro- |
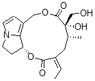
| Molecular Structure | ![]() |
| Molecular Formula | C18H23NO6 |
| Molecular Weight | 349.38 |
| CAS Registry Number | 23092-97-9 |
| SMILES | [C@H]12OC(=O)C(/C[C@H]([C@@](O)(C(OCC3=C1[N](CC2)C=C3)=O)CO)C)=C\C |
| InChI | 1S/C18H23NO6/c1-3-12-8-11(2)18(23,10-20)17(22)24-9-13-4-6-19-7-5-14(15(13)19)25-16(12)21/h3-4,6,11,14,20,23H,5,7-10H2,1-2H3/b12-3-/t11-,14-,18-/m1/s1 |
| InChIKey | HEVMYCOMWSDUCL-UQLKVITLSA-N |
| Density | 1.379g/cm3 (Cal.) |
|---|---|
| Boiling point | 602.195°C at 760 mmHg (Cal.) |
| Flash point | 317.996°C (Cal.) |
| Market Analysis Reports |