Online Database of Chemicals from Around the World

Sugammadex Thiolactic Acid Impurity 2 Octasodium Salt
[CAS 2412952-94-2]

List of Suppliers
Pure Research Chemicals China
www.purerechem.com
+86 (551) 6288-8437
+86 18096409024
info@purerechem.com
QQ Chat
Skype Chat
WeChat: 18856022585
Chemical manufacturer since 2018

Identification
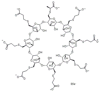
NameSugammadex Thiolactic Acid Impurity 2 Octasodium Salt
SynonymsSugammadex Impurity 22;octasodium 3-[[(1S,3S,5S,6S,8S,10S,11S,13S,15S,16S,18S,20S,21S,23S,25S,26S,28S,30S,31S,33S,35S,36S,38S,40S,41R,42R,43R,45R,46R,47R,48R,49R,50R,51R,52R,53R,54R,55R,56R)-10,15,20,25,30,35,40-heptakis(2-carboxylatoethylsulfanylmethyl)-41,42,43,44,45,46,47,48,49,50,51,52,53,54,55,56-hexadecahydroxy-2,4,7,9,12,14,17,19,22,24,27,29,32,34,37,39-hexadecaoxanonacyclo[36.2.2.23,6.28,11.213,16.218,21.223,26.228,31.233,36]hexapentacontan-5-yl]methylsulfanyl]propanoate
Molecular StructureSugammadex Thiolactic Acid Impurity 2 Octasodium Salt molecular structure (CAS 2412952-94-2)
Molecular FormulaC72H104O48S8 .8Na
Molecular Weight2178.01
CAS Registry Number2412952-94-2
Market Analysis Reports
Related Products
Sugammadex  Sugammadex Dias...  Sugammadex Dias...  Sugammadex Impu...  Sugammadex Impu...  Sugammadex Mono...  Sugammadex sodi...  Sugammadex Sodi...  Sugammadex Sodi...  Sugammadex Thio...  Sudoxicam  Sufentanil  Sufentanil citr...  Sufosfamide  Sufotidine  Sufugolix  Sugereoside  Sugetriol 6,9-d...  Sugiol  SU-5402 2-Hydro...