| Achemica | Switzerland | |||
|---|---|---|---|---|
![]() |
+41 (24) 466-2929 | |||
![]() |
contact@achemica.com | |||
| Chemical manufacturer since 2010 | ||||
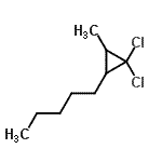
| Name | 1,1-Dichloro-2-Methyl-3-Pentylcyclopropane |
|---|---|
| Synonyms | 1,1-Dichloro-2-methyl-3-pentylcyclopropane # |
| Molecular Structure | ![]() |
| Molecular Formula | C9H16Cl2 |
| Molecular Weight | 195.13 |
| CAS Registry Number | 24551-85-7 |
| SMILES | ClC1(Cl)C(C1CCCCC)C |
| InChI | 1S/C9H16Cl2/c1-3-4-5-6-8-7(2)9(8,10)11/h7-8H,3-6H2,1-2H3 |
| InChIKey | UPEJNVPFFQIBSS-UHFFFAOYSA-N |
| Density | 1.063g/cm3 (Cal.) |
|---|---|
| Boiling point | 224.829°C at 760 mmHg (Cal.) |
| Flash point | 74.249°C (Cal.) |
| Refractive index | 1.471 (Cal.) |
| Market Analysis Reports |