Online Database of Chemicals from Around the World

Neoagarohexaose
[CAS 25023-93-2]

List of Suppliers
Carbosynth China Ltd. China
www.carbosynth.cn
+86 (512) 6260-5585
+86 (512) 6260-5576
sales@carbosynth.com
QQ Chat
Chemical manufacturer since 2006
chemBlink Standard supplier since 2016

Identification
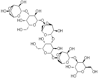
NameNeoagarohexaose
SynonymsO-3,6-Anhydro-alpha-L-galactopyranosyl-(1→3)-O-beta-D-galactopyranosyl-(1→4)-O-3,6-anhydro-alpha-L-galactopyranosyl-(1→3)-O-beta-D-galactopyranosyl-(1→4)-O-3,6-anhydro-alpha-L-galactopyranosyl-(1→3)-D-galactose
Molecular StructureNeoagarohexaose molecular structure (CAS 25023-93-2)
Molecular FormulaC36H56O28
Molecular Weight936.81
CAS Registry Number25023-93-2
Properties
SolubilitySlightly soluble (2 g/L) (25 °C), Calc.*
Density1.81±0.1 g/cm3 (20 °C 760 Torr), Calc.*
*Calculated using Advanced Chemistry Development (ACD/Labs) Software V11.02 (©1994-2016 ACD/Labs)
Market Analysis Reports
Related Products
Nemonapride  Nemonapride  Nemonapride  Nemonoxacin  Nemoralisin  Nemoralisin C  Nemorubicin  Neoabietic acid  Neoagarobiose  Neoagarohexaito...  Neoagarooctaose  Neoagarotetraos...  Neoalsoside A  Neoandrographol...  Neoantimycin  Neoarsphenamine  Neobaicalein  Neobavaisoflavo...  Neobellieria bu...  Neobiliverdine ...