|
CAS#: 25030-32-4 Product: Desmethylphalloin No suppilers available for the product. |
| Name | Desmethylphalloin |
|---|---|
| Synonyms | 7-(4-Hydroxy-L-Norvaline)Phalloidin; Demethylphalloin; Desmethylphalloin |
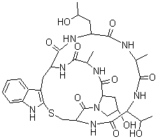
| Molecular Structure | ![]() |
| Molecular Formula | C34H46N8O10S |
| Molecular Weight | 758.85 |
| CAS Registry Number | 25030-32-4 |
| SMILES | C1=CC=CC5=C1C4=C(SCC2NC(=O)C(NC(=O)C(NC(=O)C(NC(=O)C(NC(=O)C(NC(=O)C3N(C2=O)CC(O)C3)C)C4)CC(O)C)C)C(O)C)[NH]5 |
| InChI | 1S/C34H46N8O10S/c1-14(43)9-22-29(48)35-16(3)28(47)41-26(17(4)44)32(51)39-24-13-53-33-20(19-7-5-6-8-21(19)40-33)11-23(30(49)38-22)37-27(46)15(2)36-31(50)25-10-18(45)12-42(25)34(24)52/h5-8,14-18,22-26,40,43-45H,9-13H2,1-4H3,(H,35,48)(H,36,50)(H,37,46)(H,38,49)(H,39,51)(H,41,47) |
| InChIKey | QFBWBPWXLYXNHF-UHFFFAOYSA-N |
| Density | 1.493g/cm3 (Cal.) |
|---|---|
| Boiling point | 1326.978°C at 760 mmHg (Cal.) |
| Flash point | 756.329°C (Cal.) |
| Market Analysis Reports |