|
CAS#: 26062-47-5 Product: Poly-L-Methionine No suppilers available for the product. |
| Classification | Biochemical >> Amino acids and their derivatives >> Methionine derivatives |
|---|---|
| Name | Poly-L-Methionine |
| Synonyms | (2S)-2-Amino-4-Methylsulfanyl-Butanoic Acid; (2S)-2-Amino-4-(Methylthio)Butanoic Acid; (2S)-2-Amino-4-(Methylthio)Butyric Acid |
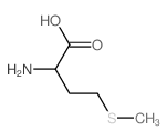
| Molecular Structure | ![]() |
| Molecular Formula | C5H11NO2S |
| Molecular Weight | 149.21 |
| CAS Registry Number | 26062-47-5 (58576-49-1) |
| SMILES | [C@@H](C(O)=O)(CCSC)N |
| InChI | 1S/C5H11NO2S/c1-9-3-2-4(6)5(7)8/h4H,2-3,6H2,1H3,(H,7,8)/t4-/m0/s1 |
| InChIKey | FFEARJCKVFRZRR-BYPYZUCNSA-N |
| Density | 1.34 (Expl.) |
|---|---|
| 1.2±0.1g/cm3 (Cal.) | |
| Melting point | 280°C (Expl.) |
| Boiling point | 306.9±37.0°C at 760 mmHg (Cal.) |
| Flash point | 139.4±26.5°C (Cal.) |
| solubility | 1 M HCl: 0.5 M at 20 °C, clear, colorless |
| Safety Description | WARNING: Not sold for human treatment, trials or use |
|---|---|
| WARNING: Not for human consumption, may irriate skin & eyes. | |
| Minimize exposure. | |
| Market Analysis Reports |