Identification
| Name |
Methylfructofuranoside 1,6-Biphosphate |
| Synonyms |
1-[(3S,4S,5R)-2,3,4-Trihydroxy-5-(Phosphonooxymethyl)Tetrahydrofuran-2-Yl]Ethyl Dihydrogen Phosphate; 1-[(3S,4S,5R)-2,3,4-Trihydroxy-5-(Phosphonooxymethyl)-2-Tetrahydrofuranyl]Ethyl Dihydrogen Phosphate; D-Fructofuranoside, Methyl, 1,6-Bis(Dihydrogen Phosphate) |
|
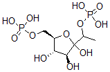
| Molecular Structure |
 |
| Molecular Formula |
C7H16O12P2 |
| Molecular Weight |
354.14 |
| CAS Registry Number |
29685-36-7 |
| SMILES |
[C@H]1(O)[C@H](O)[C@H](OC1(C(O[P](=O)(O)O)C)O)CO[P](=O)(O)O |
| InChI |
1S/C7H16O12P2/c1-3(19-21(14,15)16)7(10)6(9)5(8)4(18-7)2-17-20(11,12)13/h3-6,8-10H,2H2,1H3,(H2,11,12,13)(H2,14,15,16)/t3?,4-,5-,6+,7?/m1/s1 |
| InChIKey |
QXURZIYFNWRSHH-PISKZLEGSA-N |
|