Identification
| Name |
[(2R,3S,4R,5R)-5-(6-Aminopurin-9-Yl)-3,4-Dihydroxyoxolan-2-Yl]Methyl [(2R,3S,4R,5R)-5-(2,4-Dioxopyrimidin-1-Yl)-3,4-Dihydroxyoxolan-2-Yl]Methyl (Hydroxy-Phosphonooxyphosphoryl) Phosphate |
| Synonyms |
[(2R,3S,4R,5R)-5-(6-Aminopurin-9-Yl)-3,4-Dihydroxy-Tetrahydrofuran-2-Yl]Methyl [(2R,3S,4R,5R)-5-(2,4-Dioxopyrimidin-1-Yl)-3,4-Dihydroxy-Tetrahydrofuran-2-Yl]Methyl (Hydroxy-Phosphonooxy-Phosphoryl) Phosphate; Phosphoric Acid [(2R,3S,4R,5R)-5-(6-Amino-9-Purinyl)-3,4-Dihydroxy-2-Tetrahydrofuranyl]Methyl [(2R,3S,4R,5R)-5-(2,4-Dioxo-1-Pyrimidinyl)-3,4-Dihydroxy-2-Tetrahydrofuranyl]Methyl (Hydroxy-Phosphonooxyphosphoryl) Ester; Phosphoric Acid [(2R,3S,4R,5R)-5-(6-Aminopurin-9-Yl)-3,4-Dihydroxy-Tetrahydrofuran-2-Yl]Methyl [(2R,3S,4R,5R)-5-(2,4-Diketopyrimidin-1-Yl)-3,4-Dihydroxy-Tetrahydrofuran-2-Yl]Methyl (Hydroxy-Phosphonooxy-Phosphoryl) Ester |
|
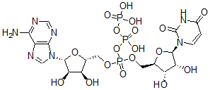
| Molecular Structure |
![CAS#: 30632-06-5, [(2R,3S,4R,5R)-5-(6-Aminopurin-9-Yl)-3,4-Dihydroxyoxolan-2-Yl]Methyl [(2R,3S,4R,5R)-5-(2,4-Dioxopyrimidin-1-Yl)-3,4-Dihydroxyoxolan-2-Yl]Methyl (Hydroxy-Phosphonooxyphosphoryl) Phosphate](/moreStructures/30632-06-5.gif) |
| Molecular Formula |
C19H26N7O18P3 |
| Molecular Weight |
733.37 |
| CAS Registry Number |
30632-06-5 |
| SMILES |
[C@H]1(O[C@@H]([C@@H](O)[C@H]1O)CO[P](O[P](O[P](=O)(O)O)(=O)O)(OC[C@H]3O[C@@H](N2C(=O)NC(=O)C=C2)[C@H](O)[C@@H]3O)=O)[N]4C5=C(N=C4)C(=NC=N5)N |
| InChI |
1S/C19H26N7O18P3/c20-15-10-16(22-5-21-15)26(6-23-10)18-14(31)12(29)8(42-18)4-40-47(38,44-46(36,37)43-45(33,34)35)39-3-7-11(28)13(30)17(41-7)25-2-1-9(27)24-19(25)32/h1-2,5-8,11-14,17-18,28-31H,3-4H2,(H,36,37)(H2,20,21,22)(H,24,27,32)(H2,33,34,35)/t7-,8-,11-,12-,13-,14-,17-,18-,47?/m1/s1 |
| InChIKey |
BSOFHAKJEKMWPE-FZNBVPMYSA-N |
|