| Alfa Chemistry | USA | |||
|---|---|---|---|---|
![]() |
+1 (201) 478-8534 | |||
![]() |
inquiry@alfa-chemistry.com | |||
| Chemical distributor since 2012 | ||||
| chemBlink standard supplier since 2012 | ||||
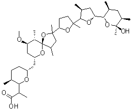
| Name | 2-[(3S,6R)-6-{[(5R,7R,9R,10S)-2-{(3'S,5'R)-5'-[(2S,3S,5R,6S)-6-Hydroxy-3,5,6-Trimethyltetrahydro-2H-Pyran-2-Yl]-2,3'-Dimethyloctahydro-2,2'-Bifuran-5-Yl}-9-Methoxy-2,4,10-Trimethyl-1,6-Dioxaspiro[4.5] Dec-7-Yl]Methyl}-3-Methyltetrahydro-2H-Pyran-2-Yl]Propanoic Acid |
|---|---|
| Synonyms | 30-Deoxynigericin; Desoxynigericin; Grisorixin |
| Molecular Structure | ![]() |
| Molecular Formula | C40H68O10 |
| Molecular Weight | 708.96 |
| CAS Registry Number | 31357-58-1 |
| SMILES | O=C(O)C(C)C1O[C@H](CC[C@@H]1C)C[C@H]6O[C@]2(OC(CC2C)(C)C5OC(C)(C4O[C@@H]([C@H]3O[C@@](O)(C)[C@H](C)C[C@@H]3C)C[C@@H]4C)CC5)[C@H]([C@H](OC)C6)C |
| InChI | 1S/C40H68O10/c1-21-12-13-28(45-33(21)26(6)36(41)42)18-29-19-30(44-11)27(7)40(47-29)25(5)20-38(9,50-40)32-14-15-37(8,48-32)35-23(3)17-31(46-35)34-22(2)16-24(4)39(10,43)49-34/h21-35,43H,12-20H2,1-11H3,(H,41,42)/t21-,22-,23-,24+,25?,26?,27-,28+,29+,30+,31+,32?,33?,34-,35?,37?,38?,39-,40+/m0/s1 |
| InChIKey | ZITSQIZMRMDQLE-FWKMWRKHSA-N |
| Density | 1.161g/cm3 (Cal.) |
|---|---|
| Boiling point | 749.583°C at 760 mmHg (Cal.) |
| Flash point | 216.895°C (Cal.) |
| Market Analysis Reports |