Online Database of Chemicals from Around the World

N2-(Bromoacetyl)Arginine
[CAS 31373-68-9]

Suppliers
Achemica Switzerland
+41 (24) 466-2929
contact@achemica.com
Chemical manufacturer since 2010
Identification
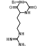
Name N2-(Bromoacetyl)Arginine
Synonyms bromoacetylarginine
Molecular Structure CAS#: 31373-68-9, N<Sup>2</Sup>-(Bromoacetyl)Arginine
Molecular Formula C8H15BrN4O3
Molecular Weight 295.13
CAS Registry Number 31373-68-9
SMILES O=C(NC(CCCNC(N)=N)C(O)=O)CBr
InChI 1S/C8H15BrN4O3/c9-4-6(14)13-5(7(15)16)2-1-3-12-8(10)11/h5H,1-4H2,(H,13,14)(H,15,16)(H4,10,11,12)
InChIKey ITHXTSANOXLYDY-UHFFFAOYSA-N
Properties
Density 1.748g/cm3 (Cal.)
Market Analysis Reports
Related Products
6-[(2-Bromoacet...  (2S)-2-[(2-Brom...  2-[2-[[5-[(2-Br...  2-[[(2R)-2-[(2-...  5-[(2-Bromoacet...  4-((Bromoacetyl...  2-[2-[[4-[(2-Br...  2-[13-[[4-[(2-B...  (2S)-6-[3-[(2-B...  [(2R,3S,4R,5R)-...  N-(Bromoacetyl)...  N-Bromoacetylaz...  1-(Bromoacetyl)...  4-(2-Bromoacety...  4-(Bromoacetyl)...  3-(Bromoacetyl)...  3-(2-Bromo-Acet...  3-(2-Bromoacety...  2-(Bromoacetyl)...  Bromoacetyl bro...