Online Database of Chemicals from Around the World

Mono-6-O-(p-toluenesulfonyl)-alpha-cyclodextrin
[CAS 32860-56-3]

List of Suppliers
Shandong Binzhou Zhiyuan Biological Technology Co., Ltd. China
www.bzzysw.com
+86 (543) 818-6048
klaus.chen@cydextrin.com
Chemical manufacturer since 2010
chemBlink Standard supplier since 2013
abcr GmbH Germany
www.abcr.de
+49 (721) 950-610
+49 (721) 950-6180
info@abcr.de
Chemical manufacturer
CarboMer, Inc. USA
www.carbomer.com
+1 (858) 552-0992
+1 (858) 552-0999
sales@carbomer.com
Chemical manufacturer

Identification
ClassificationChemical reagent >> Organic reagent >> Tosylate
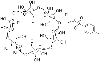
NameMono-6-O-(p-toluenesulfonyl)-alpha-cyclodextrin
Molecular StructureMono-6-O-(p-toluenesulfonyl)-alpha-cyclodextrin molecular structure (CAS 32860-56-3)
Molecular FormulaC43H66O32S
Molecular Weight1127.04
CAS Registry Number32860-56-3
Properties
Density1.586
Melting point221-225 °C
Safety Data
SDSAvailable
Market Analysis Reports
Related Products
Monosodium phos...  MonosodiuM Rise...  Monosodium succ...  Monostearin  2-Monostearin  Monostearin cit...  Monostearyl Cit...  2'-O-Monosuccin...  Mono-tert-butyl...  Monothiopyropho...  Mono-2-O-(p-Tol...  Mono-2-O-(P-Tol...  Mono-6-O-(P-Tol...  Monotridecyl ph...  Monotrifluoroac...  rac Mono(3,5,5-...  Monotropein  Monovinyl proto...  Montacephalin  Montanic acid m...