Online Database of Chemicals from Around the World

Dioleic Acid, Diester With Decaglycerol
[CAS 33940-99-7]

Suppliers
Alfa Chemistry USA
+1 (201) 478-8534
inquiry@alfa-chemistry.com
Chemical distributor since 2012
chemBlink standard supplier since 2012
BOC Sciences USA
+1 (631) 485-4226
info@bocsci.com
Skype Chat
Chemical distributor
chemBlink massive supplier since 2012
Chemstock, Inc. USA
+1 (715) 726-1437
Evelyn@chemstock.com
Chemical distributor
Identification
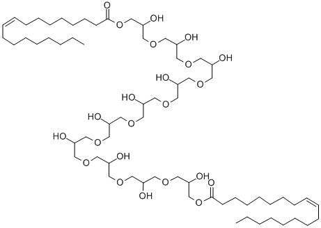
Name Dioleic Acid, Diester With Decaglycerol
Molecular Structure CAS#: 33940-99-7, Dioleic Acid, Diester With Decaglycerol
CAS Registry Number 33940-99-7
EINECS 251-750-2
Market Analysis Reports
Related Products
Di-n-Octyltin D...  Dioctyltin(Iv) ...  Di-n-octyltin o...  1,1-Dioctyl-3-[...  Dioctyl 2,4,4-T...  Dioctyl 2,2,4-T...  Diodium oleylsu...  Diodone;Bis(2-H...  Diodonemorpholi...  Diofenolan;2-Et...  Dioleic Acid Di...  1-O,2-O-Dioleoy...  rac 1,2-Dioleoy...  rac 1,2-Dioleoy...  1,3-Dioleoylgly...  Dioleoyl-Lecith...  1,2-Dioleoyl-3-...  1,2-Dioleoyl-3-...  Dioleoyl phosph...  Dioleoyl phosph...