Online Database of Chemicals from Around the World

[7-Hydroxy-2-(3-Hydroxybutan-2-Yl)-12-(5-Hydroxy-4-Methoxy-4,6-Dimethyloxan-2-Yl)Oxy-10-(3-Hydroxy-4-Methoxy-6-Methyloxan-2-Yl)Oxy-3,5,7,9,11,13-Hexamethyl-6,14-Dioxo-1-Oxacyclotetradec-4-Yl] Acetate
[CAS 33955-27-0]

Suppliers
CAS#: 33955-27-0
Product: [7-Hydroxy-2-(3-Hydroxybutan-2-Yl)-12-(5-Hydroxy-4-Methoxy-4,6-Dimethyloxan-2-Yl)Oxy-10-(3-Hydroxy-4-Methoxy-6-Methyloxan-2-Yl)Oxy-3,5,7,9,11,13-Hexamethyl-6,14-Dioxo-1-Oxacyclotetradec-4-Yl] Acetate
No suppilers available for the product.
Identification
Name [7-Hydroxy-2-(3-Hydroxybutan-2-Yl)-12-(5-Hydroxy-4-Methoxy-4,6-Dimethyloxan-2-Yl)Oxy-10-(3-Hydroxy-4-Methoxy-6-Methyloxan-2-Yl)Oxy-3,5,7,9,11,13-Hexamethyl-6,14-Dioxo-1-Oxacyclotetradec-4-Yl] Acetate
Synonyms [7-Hydroxy-12-(5-Hydroxy-4-Methoxy-4,6-Dimethyl-Tetrahydropyran-2-Yl)Oxy-10-(3-Hydroxy-4-Methoxy-6-Methyl-Tetrahydropyran-2-Yl)Oxy-2-(2-Hydroxy-1-Methyl-Propyl)-3,5,7,9,11,13-Hexamethyl-6,14-Dioxo-1-Oxacyclotetradec-4-Yl] Acetate; Acetic Acid [7-Hydroxy-12-[(5-Hydroxy-4-Methoxy-4,6-Dimethyl-2-Tetrahydropyranyl)Oxy]-10-[(3-Hydroxy-4-Methoxy-6-Methyl-2-Tetrahydropyranyl)Oxy]-2-(2-Hydroxy-1-Methylpropyl)-3,5,7,9,11,13-Hexamethyl-6,14-Dioxo-1-Oxacyclotetradec-4-Yl] Ester; Acetic Acid [7-Hydroxy-12-(5-Hydroxy-4-Methoxy-4,6-Dimethyl-Tetrahydropyran-2-Yl)Oxy-10-(3-Hydroxy-4-Methoxy-6-Methyl-Tetrahydropyran-2-Yl)Oxy-2-(2-Hydroxy-1-Methyl-Propyl)-6,14-Diketo-3,5,7,9,11,13-Hexamethyl-1-Oxacyclotetradec-4-Yl] Ester
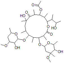
Molecular Structure CAS#: 33955-27-0, [7-Hydroxy-2-(3-Hydroxybutan-2-Yl)-12-(5-Hydroxy-4-Methoxy-4,6-Dimethyloxan-2-Yl)Oxy-10-(3-Hydroxy-4-Methoxy-6-Methyloxan-2-Yl)Oxy-3,5,7,9,11,13-Hexamethyl-6,14-Dioxo-1-Oxacyclotetradec-4-Yl] Acetate
Molecular Formula C40H70O15
Molecular Weight 790.98
CAS Registry Number 33955-27-0
SMILES CC3(OC)C(O)C(OC(OC2C(C(OC1OC(CC(OC)C1O)C)C(CC(O)(C(=O)C(C(OC(=O)C)C(C(OC(=O)C2C)C(C(O)C)C)C)C)C)C)C)C3)C
InChI 1S/C40H70O15/c1-18-16-39(11,47)35(44)23(6)33(52-27(10)42)22(5)32(20(3)25(8)41)54-37(46)24(7)34(53-29-17-40(12,49-14)36(45)26(9)51-29)21(4)31(18)55-38-30(43)28(48-13)15-19(2)50-38/h18-26,28-34,36,38,41,43,45,47H,15-17H2,1-14H3
InChIKey XITHDKRNUSLORY-UHFFFAOYSA-N
Properties
Density 1.195g/cm3 (Cal.)
Boiling point 844.047°C at 760 mmHg (Cal.)
Flash point 242.41°C (Cal.)
Market Analysis Reports
Related Products
(2S,3R,4S,5S,6R...  Hydroxy[(2-Hydr...  2-Hydroxy-N-[[(...  (4aS,6aS,6bR,8a...  4-Hydroxy-5-((2...  7-Hydroxy-3-(4-...  2-Hydroxy-N-(O-...  2-({4-[(2-Hydro...  4-hydroxy-N-[6-...  4-Hydroxy-5-[(1...  8-Hydroxy-8-[(E...  4-Hydroxy-4-[(1...  2-[5-Hydroxy-2-...  4-Hydroxy-2-(1-...  4-Hydroxy-4-(4-...  Hydroxy(2-Hydro...  α-methylene-11α-hydroxy-15,16,17,18,19,20-hexanor-14-(1-hydroxycyclohexyl)-prost-5E-en-13-yn-1-oic acid"13,14-dehydro-15-cyclohexyl Carbaprostacyclin">(5E)-5-[(3aS,4S...  4-Hydroxy-2-(10...  4-Hydroxy-3-(10...  2-Hydroxy-4-(2-...