Online Database of Chemicals from Around the World

6-(2-Mercapto-1-Methyl-L-Tryptophan)-Phalloidin
[CAS 35167-13-6]

Suppliers
BOC Sciences USA
+1 (631) 485-4226
info@bocsci.com
Skype Chat
Chemical distributor
chemBlink massive supplier since 2012
Identification
Name 6-(2-Mercapto-1-Methyl-L-Tryptophan)-Phalloidin
Synonyms N(Sup Ind)-Methylphalloidin; N-Methylphalloidin
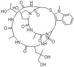
Molecular Structure CAS#: 35167-13-6, 6-(2-Mercapto-1-Methyl-L-Tryptophan)-Phalloidin
Molecular Formula C36H50N8O11S
Molecular Weight 802.90
CAS Registry Number 35167-13-6
SMILES C5=C4C3=C(SCC1NC(=O)C(NC(=O)C(NC(=O)C(NC(=O)C(NC(=O)C(NC(=O)C2N(C1=O)CC(O)C2)C)C3)CC(O)(CO)C)C)C(O)C)[N](C4=CC=C5)C
InChI 1S/C36H50N8O11S/c1-16-28(48)39-22-11-21-20-8-6-7-9-25(20)43(5)35(21)56-14-24(34(54)44-13-19(47)10-26(44)32(52)38-16)41-33(53)27(18(3)46)42-29(49)17(2)37-31(51)23(40-30(22)50)12-36(4,55)15-45/h6-9,16-19,22-24,26-27,45-47,55H,10-15H2,1-5H3,(H,37,51)(H,38,52)(H,39,48)(H,40,50)(H,41,53)(H,42,49)
InChIKey XHUXYGHEHCWWIN-UHFFFAOYSA-N
Properties
Density 1.596g/cm3 (Cal.)
Boiling point 1356.083°C at 760 mmHg (Cal.)
Flash point 773.931°C (Cal.)
Market Analysis Reports
Related Products
4-(Mercaptometh...  2-Mercapto-4-Me...  5-Mercapto-1-me...  2-Mercapto-5-me...  2-Mercapto-4-me...  2-Mercapto-4-me...  2-Mercapto-6-Me...  2-Mercapto-4-me...  (E)-3-Mercapto-...  3-Mercapto-6-Me...  5-Mercaptomethy...  2-Mercapto-Naph...  2-Mercapto-N-(2...  2-Mercaptonicot...  6-Mercaptonicot...  2-Mercapto-5-ni...  5-Mercapto-2-Ni...  3-[[[(2S,4S)-4-...  5-Mercapto-N6-[...  (3S)-3-Mercapto...