Online Database of Chemicals from Around the World

12-(2,3-Dihydroxy-2-Methylpropyl)-23-Hydroxy-6-(1-Hydroxyethyl)-15-(1H-Indol-3-Ylmethyl)-3,9,18-Trimethyl-1,4,7,10,13,16,19-Heptazabicyclo[19.3.0]Tetracosane-2,5,8,11,14,17,20-Heptone
[CAS 35173-40-1]

Suppliers
CAS#: 35173-40-1
Product: 12-(2,3-Dihydroxy-2-Methylpropyl)-23-Hydroxy-6-(1-Hydroxyethyl)-15-(1H-Indol-3-Ylmethyl)-3,9,18-Trimethyl-1,4,7,10,13,16,19-Heptazabicyclo[19.3.0]Tetracosane-2,5,8,11,14,17,20-Heptone
No suppilers available for the product.
Identification
Name 12-(2,3-Dihydroxy-2-Methylpropyl)-23-Hydroxy-6-(1-Hydroxyethyl)-15-(1H-Indol-3-Ylmethyl)-3,9,18-Trimethyl-1,4,7,10,13,16,19-Heptazabicyclo[19.3.0]Tetracosane-2,5,8,11,14,17,20-Heptone
Synonyms 12-(2,3-Dihydroxy-2-Methyl-Propyl)-23-Hydroxy-6-(1-Hydroxyethyl)-15-(1H-Indol-3-Ylmethyl)-3,9,18-Trimethyl-1,4,7,10,13,16,19-Heptazabicyclo[19.3.0]Tetracosane-2,5,8,11,14,17,20-Heptone; Dethiophalloidin; Phalloidin, 3-L-Alanine-6-L-Tryptophan-
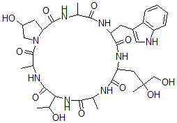
Molecular Structure CAS#: 35173-40-1, 12-(2,3-Dihydroxy-2-Methylpropyl)-23-Hydroxy-6-(1-Hydroxyethyl)-15-(1H-Indol-3-Ylmethyl)-3,9,18-Trimethyl-1,4,7,10,13,16,19-Heptazabicyclo[19.3.0]Tetracosane-2,5,8,11,14,17,20-Heptone
Molecular Formula C35H50N8O11
Molecular Weight 758.83
CAS Registry Number 35173-40-1
SMILES C1=C(C2=C([NH]1)C=CC=C2)CC3NC(=O)C(NC(=O)C4N(C(=O)C(NC(=O)C(NC(=O)C(NC(=O)C(NC3=O)CC(O)(CO)C)C)C(O)C)C)CC(O)C4)C
InChI 1S/C35H50N8O11/c1-16-28(47)40-24(10-20-13-36-23-9-7-6-8-22(20)23)30(49)41-25(12-35(5,54)15-44)31(50)37-17(2)29(48)42-27(19(4)45)33(52)39-18(3)34(53)43-14-21(46)11-26(43)32(51)38-16/h6-9,13,16-19,21,24-27,36,44-46,54H,10-12,14-15H2,1-5H3,(H,37,50)(H,38,51)(H,39,52)(H,40,47)(H,41,49)(H,42,48)
InChIKey IYJPKTWFAHJIAW-UHFFFAOYSA-N
Properties
Density 1.441g/cm3 (Cal.)
Boiling point 1319.667°C at 760 mmHg (Cal.)
Flash point 751.908°C (Cal.)
Market Analysis Reports
Related Products
7,8-Dihydroxy-6...  N-[2,6-Dihydrox...  1-[2,3-Dihydrox...  (2R,3S,4S,5R,6R...  (2R,3R,4S,5S,6R...  (3E,5E,7R,8R,9S...  2-[8,11-Dihydro...  3',4'-Dihydroxy...  1-(1,3-Dihydrox...  2,3-Dihydroxy-2...  2,6-Dihydroxy-3...  8,9-Dihydroxy-2...  3,5-Dihydroxy-2...  3,6-Dihydroxy-4...  2,4-Dihydroxy-5...  2,6-Dihydroxy-4...  2,4-Dihydroxy-6...  3-[[(4R,5S,6S,7...  (2S)-2,3-Dihydr...  4,8-Dihydroxy-7...