Online Database of Chemicals from Around the World

Tert-Butyl N-(2-Ethylamino-2-Methyl-Propyl)Carbamate
[CAS 356058-20-3]

Suppliers
Achemica Switzerland
+41 (24) 466-2929
contact@achemica.com
Chemical manufacturer since 2010
Atomax Chemicals Co., Ltd. China
+86 13417589054/
info@atomaxchem.com,atomax.chemicals@gmail.com
QQ Chat
Chemical manufacturer
Identification
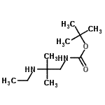
Name Tert-Butyl N-(2-Ethylamino-2-Methyl-Propyl)Carbamate
Synonyms tert-butyl (2-(ethylamino)-2-methylpropyl)carbamate
Molecular Structure CAS#: 356058-20-3, Tert-Butyl N-(2-Ethylamino-2-Methyl-Propyl)Carbamate
Molecular Formula C11H24N2O2
Molecular Weight 216.32
CAS Registry Number 356058-20-3
SMILES CC(C)(C)OC(=O)NCC(C)(C)NCC
InChI 1S/C11H24N2O2/c1-7-13-11(5,6)8-12-9(14)15-10(2,3)4/h13H,7-8H2,1-6H3,(H,12,14)
InChIKey AJTOOLDEHFANMG-UHFFFAOYSA-N
Properties
Density 0.935g/cm3 (Cal.)
Boiling point 300.878°C at 760 mmHg (Cal.)
Flash point 135.766°C (Cal.)
Refractive index 1.447 (Cal.)
Market Analysis Reports
Related Products
5-Tert-Butyl-3-...  tert-Butyl 3-(3...  tert-Butyl (3S)...  tert-Butyl 4-(3...  5-tert-Butyl-2-...  N-(5-Tert-Butyl...  tert-butyl (S)-...  N'-(5-Tert-Buty...  N-tert-Butyleth...  tert-Butyl N-[2...  Tert-Butyl (2S)...  Tert-Butyl (2S)...  tert-Butyl 3-(e...  5-tert-Butyl 1-...  1-Tert-Butyl-4-...  rac-3-tert-Buty...  Tert-Butyl 2-Et...  tert-Butyl Ethy...  1-Tert-Butyl-3-...  N-tert-butyl-1-...