Online Database of Chemicals from Around the World

Bacopaside I
[CAS 382148-47-2]

List of Suppliers
Chengdu Biopurify Phytochemicals Ltd. China
www.phytopurify.com
+86 (28) 8263-3860
8263-3987
+86 (28) 8263-3165
sales@biopurify.com
biopurify@gmail.com
QQ Chat
Skype Chat
Chemical manufacturer
chemBlink Standard supplier since 2017

Identification
ClassificationAnalytical chemistry >> Standard >> Analytical standard
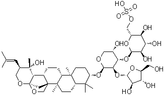
NameBacopaside I
Molecular StructureBacopaside I molecular structure (CAS 382148-47-2)
Molecular FormulaC46H74O20S
Molecular Weight979.13
CAS Registry Number382148-47-2
Properties
SolubilityPractically insoluble (0.018 g/L) (25 °C), Calc.*
Density1.48±0.1 g/cm3 (20 °C 760 Torr), Calc.*
*Calculated using Advanced Chemistry Development (ACD/Labs) Software V11.02 (©1994-2015 ACD/Labs)
Safety Data
SDSAvailable
Market Analysis Reports
Related Products
Bacitracin B1a  Bacitracin F  Baclofen  (R)-Baclofen  Baclofen-d4  S(-)-Baclofen H...  (R)-Baclofen la...  Bacmecillinam  Bacopa monnieri...  (-)-Bacopasapon...  Bacopaside II  Bacopaside V  Bacopaside VII  Bacoside A3  Bacoside A1  Bacoside A2  Bacoside A  Bacosin  Bacteriochlorin...  Bacteriochlorop...