Online Database of Chemicals from Around the World

4-((1-hydroxy-6-((((5-hydroxy-6-((2-methyl-4-sulfophenyl)azo)-7-sulfo-2-naphthalenyl)amino)carbonyl)amino)-3-sulfo-2-naphthalenyl)azo)-Benzoic acid compd. with 2,2',2''-nitrilotris(ethanol) (1:4)
[CAS 38801-09-1]

Suppliers
CAS#: 38801-09-1
Product: 4-((1-hydroxy-6-((((5-hydroxy-6-((2-methyl-4-sulfophenyl)azo)-7-sulfo-2-naphthalenyl)amino)carbonyl)amino)-3-sulfo-2-naphthalenyl)azo)-Benzoic acid compd. with 2,2',2''-nitrilotris(ethanol) (1:4)
No suppilers available for the product.
Identification
Name 4-((1-hydroxy-6-((((5-hydroxy-6-((2-methyl-4-sulfophenyl)azo)-7-sulfo-2-naphthalenyl)amino)carbonyl)amino)-3-sulfo-2-naphthalenyl)azo)-Benzoic acid compd. with 2,2',2''-nitrilotris(ethanol) (1:4)
Synonyms 2-(Bis(2-Hydroxyethyl)Amino)Ethanol; 4-[(N'z)-N'-[6-[[(6E)-6-[(2-Methyl-4-Sulfo-Phenyl)Hydrazono]-5-Oxo-7-Sulfo-2-Naphthyl]Carbamoylamino]-1-Oxo-3-Sulfo-2-Naphthylidene]Hydrazino]Benzoic Acid; 2-(Bis(2-Hydroxyethyl)Amino)Ethanol; 4-[(N'z)-N'-[6-[[[[(6E)-6-[(2-Methyl-4-Sulfophenyl)Hydrazono]-5-Oxo-7-Sulfo-2-Naphthyl]Amino]-Oxomethyl]Amino]-1-Oxo-3-Sulfo-2-Naphthylidene]Hydrazino]Benzoic Acid; 2-(Bis(2-Hydroxyethyl)Amino)Ethanol; 4-[(N'z)-N'-[1-Keto-6-[[(6E)-5-Keto-6-[(2-Methyl-4-Sulfo-Phenyl)Hydrazono]-7-Sulfo-2-Naphthyl]Carbamoylamino]-3-Sulfo-2-Naphthylidene]Hydrazino]Benzoic Acid
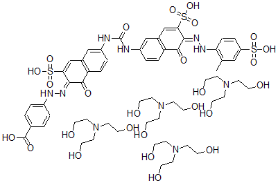
Molecular Structure CAS#: 38801-09-1, 4-((1-hydroxy-6-((((5-hydroxy-6-((2-methyl-4-sulfophenyl)azo)-7-sulfo-2-naphthalenyl)amino)carbonyl)amino)-3-sulfo-2-naphthalenyl)azo)-Benzoic acid compd. with 2,2',2''-nitrilotris(ethanol) (1:4)
Molecular Formula C59H86N10O26S3
Molecular Weight 1447.56
CAS Registry Number 38801-09-1
SMILES C4=C(NC(=O)NC3=CC2=C(C(=O)C(=N/NC1=CC=C(C=C1)C(O)=O)/C(=C2)[S](O)(=O)=O)C=C3)C=CC6=C4C=C([S](O)(=O)=O)/C(=N/NC5=C(C=C([S](O)(=O)=O)C=C5)C)C6=O.C(N(CCO)CCO)CO.C(N(CCO)CCO)CO.C(N(CCO)CCO)CO.C(N(CCO)CCO)CO
InChI 1S/C35H26N6O14S3.4C6H15NO3/c1-17-12-24(56(47,48)49)8-11-27(17)39-41-31-29(58(53,54)55)16-20-14-23(7-10-26(20)33(31)43)37-35(46)36-22-6-9-25-19(13-22)15-28(57(50,51)52)30(32(25)42)40-38-21-4-2-18(3-5-21)34(44)45;4*8-4-1-7(2-5-9)3-6-10/h2-16,38-39H,1H3,(H,44,45)(H2,36,37,46)(H,47,48,49)(H,50,51,52)(H,53,54,55);4*8-10H,1-6H2/b40-30+,41-31-;;;;
InChIKey UYTQHXSEIDZWKS-LEZNQJJJSA-N
Market Analysis Reports
Related Products
3-Hydroxy-6-(Hy...  5-Hydroxy-2-(hy...  3-Hydroxy-2-(hy...  5-Hydroxy-2-(Hy...  5-Hydroxy-2-(Hy...  6-Hydroxy-2-(Hy...  (2S)-N-Hydroxy-...  (2R,4S)-4-Hydro...  (2R)-N4-Hydroxy...  4-Hydroxy-7-[[[...  5-Hydroxy-4-[[5...  3-Hydroxy-4-[[2...  [[1-Hydroxy-6-[...  [1-[(4S,5R)-4-H...  4-Hydroxy-N-[5-...  1-[(2R,4S,5R)-4...  1-[(4S,5R)-4-Hy...  5-hydroxy-8-(1-...  (±)-2-Hydroxy-5...  (Z,2R)-2-hydrox...