|
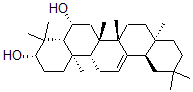
CAS#: 41498-79-7 Product: Olean-12-Ene-3b,6b-Diol No suppilers available for the product. |
| Name | Olean-12-Ene-3b,6b-Diol |
|---|---|
| Synonyms | Daturadiol; Olean-12-Ene-3,6-Diol, (3Beta,6Beta)- |
| Molecular Structure | ![]() |
| Molecular Formula | C30H50O2 |
| Molecular Weight | 442.72 |
| CAS Registry Number | 41498-79-7 |
| SMILES | [C@@]13([C@]5(C(=CC[C@@H]1[C@]2(CC[C@@H](C([C@@H]2[C@@H](C3)O)(C)C)O)C)[C@@H]4CC(C)(C)CC[C@@]4(CC5)C)C)C |
| InChI | 1S/C30H50O2/c1-25(2)13-14-27(5)15-16-29(7)19(20(27)17-25)9-10-22-28(6)12-11-23(32)26(3,4)24(28)21(31)18-30(22,29)8/h9,20-24,31-32H,10-18H2,1-8H3/t20-,21+,22+,23-,24-,27+,28+,29+,30+/m0/s1 |
| InChIKey | JYNBNJRQZZSLPN-NYVWVNPOSA-N |
| Density | 1.1±0.1g/cm3 (Cal.) |
|---|---|
| Boiling point | 520.7±50.0°C at 760 mmHg (Cal.) |
| Flash point | 210.0±24.7°C (Cal.) |
| Market Analysis Reports |