|
CAS#: 415915-42-3 Product: 1-(4-Butylcyclohexyl)-4-Ethoxy-2,3-Difluoro-Benzene No suppilers available for the product. |
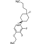
| Name | 1-(4-Butylcyclohexyl)-4-Ethoxy-2,3-Difluoro-Benzene |
|---|---|
| Synonyms | trans-1-(4-Butyl-cyclohexyl)-4-ethoxy-2,3-difluoro-benzene |
| Molecular Structure | ![]() |
| Molecular Formula | C18H26F2O |
| Molecular Weight | 296.39 |
| CAS Registry Number | 415915-42-3 |
| SMILES | CCCC[C@H]1CC[C@@H](CC1)c2c(c(c(cc2)OCC)F)F |
| InChI | 1S/C18H26F2O/c1-3-5-6-13-7-9-14(10-8-13)15-11-12-16(21-4-2)18(20)17(15)19/h11-14H,3-10H2,1-2H3/t13-,14- |
| InChIKey | SPUIKFOOAHSYCG-HDJSIYSDSA-N |
| Density | 1.022g/cm3 (Cal.) |
|---|---|
| Boiling point | 341.797°C at 760 mmHg (Cal.) |
| Flash point | 168.633°C (Cal.) |
| Refractive index | 1.477 (Cal.) |
| Market Analysis Reports |