Online Database of Chemicals from Around the World

N-Ethyl-N-(1-Ethyl-4-Piperidinyl)-N',N'-Dimethyl-1,2-Ethanediamine
[CAS 416864-82-9]

Suppliers
Atomax Chemicals Co., Ltd. China
+86 13417589054/
info@atomaxchem.com,atomax.chemicals@gmail.com
QQ Chat
Chemical manufacturer
ChemBridge Corporation USA
+1 (858) 451-7400
sales@chembridge.com
Chemical manufacturer
Identification
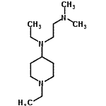
Name N-Ethyl-N-(1-Ethyl-4-Piperidinyl)-N',N'-Dimethyl-1,2-Ethanediamine
Synonyms N1-ethyl-N1-(1-ethylpiperidin-4-yl)-N2,N2-dimethylethane-1,2-diamine; N-ethyl-N-(1-ethyl-4-piperidinyl)-N',N'-dimethyl-1,2-ethanediamine
Molecular Structure CAS#: 416864-82-9, N-Ethyl-N-(1-Ethyl-4-Piperidinyl)-N',N'-Dimethyl-1,2-Ethanediamine
Molecular Formula C13H29N3
Molecular Weight 227.39
CAS Registry Number 416864-82-9
SMILES N(C1CCN(CC)CC1)(CC)CCN(C)C
InChI 1S/C13H29N3/c1-5-15-9-7-13(8-10-15)16(6-2)12-11-14(3)4/h13H,5-12H2,1-4H3
InChIKey SNYRJEUOPLTRKK-UHFFFAOYSA-N
Properties
Density 0.929g/cm3 (Cal.)
Boiling point 276.175°C at 760 mmHg (Cal.)
Flash point 104.899°C (Cal.)
Refractive index 1.499 (Cal.)
Market Analysis Reports
Related Products
Ethyl 2-(4-ethy...  Ethyl 2-(3-ethy...  1-Ethyl-1-(3-Et...  1-Ethyl-1-(4-et...  2-Ethyl-1-(4-Et...  N-Ethyl-2-(4-Et...  Ethyl 1-Ethyl-3...  1-Ethyl-1-[2-[2...  2-Ethyl-1-(2-Et...  Ethyl (1-ethyl-...  1-Ethyl-4-(1-Et...  5-Ethyl-5-(1-Et...  Ethyl 2-[(1S,4R...  5-Ethyl-5-(1-Et...  2-Ethyl-2-(1-et...  Ethyl 1-Ethyl-3...  Ethyl 1-Ethyl-3...  5-Ethyl-5-(1-Et...  Ethyl (5-ethyl-...  Ethyl 3-(5-ethy...