Online Database of Chemicals from Around the World

3-[(4-Phenoxybutoxy)Iminomethyl]Rifamycin
[CAS 41970-81-4]

Suppliers
CAS#: 41970-81-4
Product: 3-[(4-Phenoxybutoxy)Iminomethyl]Rifamycin
No suppilers available for the product.
Identification
Name 3-[(4-Phenoxybutoxy)Iminomethyl]Rifamycin
Synonyms 3-Formylrifamycin Sv O-(4-Phenoxybutyl)Oxime; Brn 5418900
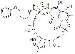
Molecular Structure CAS#: 41970-81-4, 3-[(4-Phenoxybutoxy)Iminomethyl]Rifamycin
Molecular Formula C48H60N2O14
Molecular Weight 889.01
CAS Registry Number 41970-81-4
SMILES C5=C(OCCCCON/C=C2/C(=O)C1=C3C(=C(C4=C1C(=O)C(O/C=C/C(OC)C(C(OC(=O)C)C(C(O)C(C(O)C(C)\C=C\C=C(C(=O)NC2=C3O)\C)C)C)C)(O4)C)C)O)C=CC=C5
InChI 1S/C48H60N2O14/c1-25-16-15-17-26(2)47(58)50-38-33(24-49-62-22-14-13-21-60-32-18-11-10-12-19-32)42(55)35-36(43(38)56)41(54)30(6)45-37(35)46(57)48(8,64-45)61-23-20-34(59-9)27(3)44(63-31(7)51)29(5)40(53)28(4)39(25)52/h10-12,15-20,23-25,27-29,34,39-40,44,49,52-54,56H,13-14,21-22H2,1-9H3,(H,50,58)/b16-15+,23-20+,26-17-,33-24+
InChIKey RNRXYPZQEAEIMY-PFKAGWKBSA-N
Market Analysis Reports
Related Products
(2S)-1-Phenoxy-...  (2R)-1-Phenoxy-...  1-Phenoxy-2-But...  3-Phenoxy-1-But...  1-Phenoxy-2,3-B...  4-(Phenoxy)Buta...  4-Phenoxybutano...  3-Phenoxybutano...  3-Phenoxy-2-But...  [1-[(E)-4-Pheno...  5-(4-Phenoxybut...  4-Phenoxybutyl ...  4-Phenoxybutyl ...  [1-(4-Phenoxybu...  1-(4-Phenoxybut...  [1-(4-Phenoxybu...  2-Phenoxybutyri...  alpha-Phenoxybu...  2-Phenoxybutyry...  4-Phenoxybutyry...