|
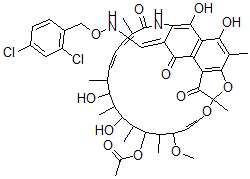
CAS#: 41970-84-7 Product: 3-[(2,4-Dichlorobenzyloxy)Iminomethyl]Rifamycin SV No suppilers available for the product. |
| Name | 3-[(2,4-Dichlorobenzyloxy)Iminomethyl]Rifamycin SV |
|---|---|
| Synonyms | 3-Formylrifamycin Sb O-(2,4-Dichlorobenzyl)Oxime; Brn 5419004 |
| Molecular Structure | ![]() |
| Molecular Formula | C45H52Cl2N2O13 |
| Molecular Weight | 899.82 |
| CAS Registry Number | 41970-84-7 |
| SMILES | C1=CC(=CC(=C1CON/C=C3/C(=O)C2=C4C(=C(C5=C2C(=O)C(O/C=C/C(OC)C(C(OC(=O)C)C(C(O)C(C(O)C(C)\C=C\C=C(C(=O)NC3=C4O)\C)C)C)C)(O5)C)C)O)Cl)Cl |
| InChI | 1S/C45H52Cl2N2O13/c1-20-11-10-12-21(2)44(57)49-35-29(18-48-60-19-27-13-14-28(46)17-30(27)47)39(54)32-33(40(35)55)38(53)25(6)42-34(32)43(56)45(8,62-42)59-16-15-31(58-9)22(3)41(61-26(7)50)24(5)37(52)23(4)36(20)51/h10-18,20,22-24,31,36-37,41,48,51-53,55H,19H2,1-9H3,(H,49,57)/b11-10+,16-15+,21-12-,29-18+ |
| InChIKey | PITLVIPMZFMMTJ-IJONVSNVSA-N |
| Market Analysis Reports |