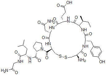
Identification
| Name |
Glu(4)-Oxytocin |
| Synonyms |
3-[(4R,7S,10S,16S,19R)-19-Amino-7-(2-Amino-2-Oxo-Ethyl)-4-[(2S)-2-[[(1S)-1-[(2-Amino-2-Oxo-Ethyl)Carbamoyl]-3-Methyl-Butyl]Carbamoyl]Pyrrolidine-1-Carbonyl]-16-[(4-Hydroxyphenyl)Methyl]-6,9,12,15,18-Pentaoxo-13-Sec-Butyl-1,2-Dithia-5,8,11,14,17-Pentazacycloicos-10-Yl]Propanoic Acid; 3-[(4R,7S,10S,16S,19R)-19-Amino-7-(2-Amino-2-Oxoethyl)-4-[[(2S)-2-[[[(1S)-1-[[(2-Amino-2-Oxoethyl)Amino]-Oxomethyl]-3-Methylbutyl]Amino]-Oxomethyl]-1-Pyrrolidinyl]-Oxomethyl]-16-[(4-Hydroxyphenyl)Methyl]-6,9,12,15,18-Pentaoxo-13-Sec-Butyl-1,2-Dithia-5,8,11,14,17-Pentazacycloicos-10-Yl]Propanoic Acid; 3-[(4R,7S,10S,16S,19R)-19-Amino-7-(2-Amino-2-Keto-Ethyl)-4-[(2S)-2-[[(1S)-1-[(2-Amino-2-Keto-Ethyl)Carbamoyl]-3-Methyl-Butyl]Carbamoyl]Pyrrolidine-1-Carbonyl]-16-(4-Hydroxybenzyl)-6,9,12,15,18-Pentaketo-13-Sec-Butyl-1,2-Dithia-5,8,11,14,17-Pentazacycloicos-10-Yl]Propionic Acid |
|
| Molecular Structure |
 |
| Molecular Formula |
C43H65N11O13S2 |
| Molecular Weight |
1008.17 |
| CAS Registry Number |
4314-67-4 |
| SMILES |
[C@@H]3(N(C(=O)[C@H]1NC(=O)[C@@H](NC(=O)[C@@H](NC(=O)C(NC(=O)[C@@H](NC(=O)[C@@H](N)CSSC1)CC2=CC=C(O)C=C2)[C@H](CC)C)CCC(=O)O)CC(=O)N)CCC3)C(=O)N[C@H](C(=O)NCC(=O)N)CC(C)C |
| InChI |
1S/C43H65N11O13S2/c1-5-22(4)35-42(66)48-26(12-13-34(58)59)38(62)50-29(17-32(45)56)39(63)52-30(20-69-68-19-25(44)36(60)49-28(40(64)53-35)16-23-8-10-24(55)11-9-23)43(67)54-14-6-7-31(54)41(65)51-27(15-21(2)3)37(61)47-18-33(46)57/h8-11,21-22,25-31,35,55H,5-7,12-20,44H2,1-4H3,(H2,45,56)(H2,46,57)(H,47,61)(H,48,66)(H,49,60)(H,50,62)(H,51,65)(H,52,63)(H,53,64)(H,58,59)/t22-,25-,26-,27-,28-,29-,30-,31-,35?/m0/s1 |
| InChIKey |
ANHHFWYHJRAVNA-OMTOYRQASA-N |
|