Online Database of Chemicals from Around the World

6-O-alpha-D-Galactopyranosyl-beta-D-Fructofuranosyl alpha-D-Glucopyranoside
[CAS 470-57-5]

Suppliers
CAS#: 470-57-5
Product: 6-O-alpha-D-Galactopyranosyl-beta-D-Fructofuranosyl alpha-D-Glucopyranoside
No suppilers available for the product.
Identification
Name 6-O-alpha-D-Galactopyranosyl-beta-D-Fructofuranosyl alpha-D-Glucopyranoside
Synonyms (2R,3R,4S,5S,6R)-2-[(2S,3S,4S,5R)-3,4-Dihydroxy-2-(Hydroxymethyl)-5-[[(2S,3R,4S,5R,6R)-3,4,5-Trihydroxy-6-(Hydroxymethyl)Tetrahydropyran-2-Yl]Oxymethyl]Tetrahydrofuran-2-Yl]Oxy-6-(Hydroxymethyl)Tetrahydropyran-3,4,5-Triol; (2R,3R,4S,5S,6R)-2-[[(2S,3S,4S,5R)-3,4-Dihydroxy-2-(Hydroxymethyl)-5-[[(2S,3R,4S,5R,6R)-3,4,5-Trihydroxy-6-(Hydroxymethyl)-2-Tetrahydropyranyl]Oxymethyl]-2-Tetrahydrofuranyl]Oxy]-6-(Hydroxymethyl)Tetrahydropyran-3,4,5-Triol; (2R,3R,4S,5S,6R)-2-[(2S,3S,4S,5R)-3,4-Dihydroxy-2-Methylol-5-[[(2S,3R,4S,5R,6R)-3,4,5-Trihydroxy-6-Methylol-Tetrahydropyran-2-Yl]Oxymethyl]Tetrahydrofuran-2-Yl]Oxy-6-Methylol-Tetrahydropyran-3,4,5-Triol
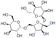
Molecular Structure CAS#: 470-57-5, 6-O-alpha-D-Galactopyranosyl-beta-D-Fructofuranosyl alpha-D-Glucopyranoside
Molecular Formula C18H32O16
Molecular Weight 504.44
CAS Registry Number 470-57-5
SMILES [C@]1([C@H]([C@H](O)[C@H](O1)CO[C@@H]2[C@@H]([C@@H](O)[C@H]([C@H](O2)CO)O)O)O)(O[C@@H]3[C@@H]([C@@H](O)[C@@H]([C@H](O3)CO)O)O)CO
InChI 1S/C18H32O16/c19-1-5-8(22)11(25)13(27)16(31-5)30-3-7-10(24)15(29)18(4-21,33-7)34-17-14(28)12(26)9(23)6(2-20)32-17/h5-17,19-29H,1-4H2/t5-,6-,7-,8+,9-,10-,11+,12+,13-,14-,15+,16+,17-,18+/m1/s1
InChIKey NIBVDXPSJBYJFT-ZQSKZDJDSA-N
Properties
Density 1.815g/cm3 (Cal.)
Boiling point 884.788°C at 760 mmHg (Cal.)
Flash point 488.902°C (Cal.)
Market Analysis Reports
Related Products
D-Galactopyrano...  O-beta-D-Galact...  O-beta-D-Galact...  O-beta-D-Galact...  O-beta-D-Galact...  4-O-Galactopyra...  3-O-beta-D-Gala...  3-O-beta-D-Gala...  beta-D-Galactop...  (3beta,16alpha)...  6-O-alpha-D-Gal...  4-O-beta-D-Gala...  3-O-(alpha-D-Ga...  4-O-beta-D-Gala...  6-O-alpha-D-Gal...  alpha-D-Galacto...  beta-L-Galactop...  O-alpha-D-Galac...  O-alpha-D-Galac...  O-alpha-D-Galac...