Online Database of Chemicals from Around the World

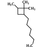
2-Hexyl-1,1,4-Trimethylcyclobutane
[CAS 49622-19-7]

Suppliers
Achemica Switzerland
+41 (24) 466-2929
contact@achemica.com
Chemical manufacturer since 2010
Identification
Name 2-Hexyl-1,1,4-Trimethylcyclobutane
Synonyms 2-Hexyl-1,1,4-trimethylcyclobutane #; 2-Hexyl-1,1,4-trimethylcyclobutane, (Z)-; Cyclobutane, 2-hexyl-1,1,4-trimethyl-, cis-
Molecular Structure CAS#: 49622-19-7, 2-Hexyl-1,1,4-Trimethylcyclobutane
Molecular Formula C13H26
Molecular Weight 182.35
CAS Registry Number 49622-19-7
SMILES C(CCC1CC(C)C1(C)C)CCC
InChI 1S/C13H26/c1-5-6-7-8-9-12-10-11(2)13(12,3)4/h11-12H,5-10H2,1-4H3
InChIKey QBXWLDWHEDTEAG-UHFFFAOYSA-N
Properties
Density 0.783g/cm3 (Cal.)
Boiling point 217.837°C at 760 mmHg (Cal.)
Flash point 79.718°C (Cal.)
Market Analysis Reports
Related Products
1-(2-Hexyl-5-Th...  1-Hexyl-1H-1,2,...  Hexyl 2-(2,4,5-...  Hexyl 2-(2,4,5-...  2-Hexyltricyclo...  7-Hexyltridecan...  n-Hexyltriethox...  alpha-Hexyl-3,4...  Hexyltrimethoxy...  Hexyltrimethyla...  3-Hexyl-1,1,2-T...  5-Hexyl-3,4,4-t...  2-Hexyl-2,4,5-T...  N-Hexyl-N,2,2-T...  3-Hexyl-6,6,9-T...  (6aR,10aR)-3-He...  n-Hexyltripheny...  Hexyl(Triphenyl...  (3S,4S)-3-Hexyl...  (6S)-3-Hexyl-6-...