|
CAS#: 50657-33-5 Product: N2'-Deacetyl-15-Hydroxy-N2'-(2-Methyl-1-Oxopropyl)Maytansine No suppilers available for the product. |
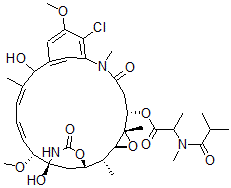
| Name | N2'-Deacetyl-15-Hydroxy-N2'-(2-Methyl-1-Oxopropyl)Maytansine |
|---|---|
| Molecular Structure | ![]() |
| Molecular Formula | C36H50ClN3O11 |
| Molecular Weight | 736.26 |
| CAS Registry Number | 50657-33-5 |
| SMILES | N3(C(=O)C[C@H](OC(=O)C(N(C(=O)C(C)C)C)C)[C@@]1(O[C@H]1[C@@H]([C@H]2OC(=O)N[C@](O)(C2)[C@H](OC)\C=C\C=C(C(O)C4=CC3=C(Cl)C(=C4)OC)/C)C)C)C |
| InChI | 1S/C36H50ClN3O11/c1-18(2)32(43)39(7)21(5)33(44)50-27-16-28(41)40(8)23-14-22(15-24(47-9)29(23)37)30(42)19(3)12-11-13-26(48-10)36(46)17-25(49-34(45)38-36)20(4)31-35(27,6)51-31/h11-15,18,20-21,25-27,30-31,42,46H,16-17H2,1-10H3,(H,38,45)/b13-11+,19-12+/t20-,21?,25+,26-,27+,30?,31+,35+,36+/m1/s1 |
| InChIKey | CJFMMFRLGXTVGK-MSCMCLLASA-N |
| Density | 1.329g/cm3 (Cal.) |
|---|---|
| Boiling point | 931.745°C at 760 mmHg (Cal.) |
| Flash point | 517.301°C (Cal.) |
| Market Analysis Reports |