| Achemica | Switzerland | |||
|---|---|---|---|---|
![]() |
+41 (24) 466-2929 | |||
![]() |
contact@achemica.com | |||
| Chemical manufacturer since 2010 | ||||
| Aronis | Russian Federation | |||
|---|---|---|---|---|
![]() |
+7 (926) 578-0336 | |||
![]() |
rakishev@aronis.ru | |||
| Chemical manufacturer | ||||
| Otava Ltd. | Ukraine | |||
|---|---|---|---|---|
![]() |
+380 (44) 522-2458 | |||
![]() |
order@otavachemicals.com | |||
| Chemical manufacturer since 1997 | ||||
| Princeton BioMolecular Research, Inc. | USA | |||
|---|---|---|---|---|
![]() |
+1 (732) 355-9920 | |||
![]() |
info@princetonbio.com | |||
| Chemical manufacturer since 1998 | ||||
| Rare Chemicals GmbH | Germany | |||
|---|---|---|---|---|
![]() |
+49 (431) 5606-600 | |||
![]() |
info@rarechem.de | |||
| Chemical manufacturer since 1997 | ||||
| Ryan Scientific, Inc. | USA | |||
|---|---|---|---|---|
![]() |
+1 (843)-884-4911 | |||
![]() |
sales@ryansci.com | |||
| Chemical manufacturer | ||||
| Vitas-M | Russian Federation | |||
|---|---|---|---|---|
![]() |
+7 (906) 781-2021 | |||
![]() |
vitas@vitasmlab.com | |||
| Chemical manufacturer since 1998 | ||||
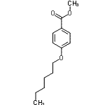
| Name | Methyl 4-(Hexyloxy)Benzoate |
|---|---|
| Synonyms | methyl 4-hexyloxybenzoate; methyl-4-(hexyloxy)benzoate |
| Molecular Structure | ![]() |
| Molecular Formula | C14H20O3 |
| Molecular Weight | 236.31 |
| CAS Registry Number | 50822-54-3 |
| SMILES | O=C(OC)c1ccc(OCCCCCC)cc1 |
| InChI | 1S/C14H20O3/c1-3-4-5-6-11-17-13-9-7-12(8-10-13)14(15)16-2/h7-10H,3-6,11H2,1-2H3 |
| InChIKey | IVYQLXCACCEQHM-UHFFFAOYSA-N |
| Density | 1.01g/cm3 (Cal.) |
|---|---|
| Boiling point | 331.861°C at 760 mmHg (Cal.) |
| Flash point | 136.943°C (Cal.) |
| Market Analysis Reports |