Identification
| Name |
3-(3-Methoxybutoxyiminomethyl)Rifamycin SV |
| Synonyms |
Brn 5418514; 2,7-(Epoxypentadeca(1,11,13)Trienimino)Naphtho(2,1-B)Furan-1,11(2H)-Dione, 3-Formyl-5,6,9,17,19,21-Hexahydroxy-23-Methoxy-2,4,12,16,18,20,22-Heptamethyl-, 21-Acetate, O-(3-Methoxybutyl)Oxime |
|
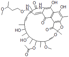
| Molecular Structure |
 |
| Molecular Formula |
C43H58N2O14 |
| Molecular Weight |
826.94 |
| CAS Registry Number |
52370-28-2 |
| SMILES |
C(ON/C=C2/C(=O)C1=C3C(=C(C4=C1C(=O)C(O/C=C/C(OC)C(C(OC(=O)C)C(C(O)C(C(O)C(C)\C=C\C=C(C(=O)NC2=C3O)\C)C)C)C)(O4)C)C)O)CC(OC)C |
| InChI |
1S/C43H58N2O14/c1-20-13-12-14-21(2)42(53)45-33-28(19-44-57-18-15-22(3)54-10)37(50)30-31(38(33)51)36(49)26(7)40-32(30)41(52)43(9,59-40)56-17-16-29(55-11)23(4)39(58-27(8)46)25(6)35(48)24(5)34(20)47/h12-14,16-17,19-20,22-25,29,34-35,39,44,47-49,51H,15,18H2,1-11H3,(H,45,53)/b13-12+,17-16+,21-14-,28-19+ |
| InChIKey |
PBIRPVZUYCXQFI-SYIUEMHUSA-N |
|