Online Database of Chemicals from Around the World

3-[2-(2-Methoxyethoxy)Ethoxyiminomethyl]Rifamycin SV
[CAS 52370-30-6]

Suppliers
CAS#: 52370-30-6
Product: 3-[2-(2-Methoxyethoxy)Ethoxyiminomethyl]Rifamycin SV
No suppilers available for the product.
Identification
Name 3-[2-(2-Methoxyethoxy)Ethoxyiminomethyl]Rifamycin SV
Synonyms 2,7-(Epoxypentadeca(1,11,13)Trienimino)Naphtho(2,1-B)Furan-1,11(2H)-Dione, 3-Formyl-5,6,9,17,19,21-Hexahydroxy-23-Methoxy-2,4,12,16,18,20,22-Heptamethyl-, 21-Acetate, O-(2-(2-Methoxyethoxy)Ethyl)Oxime; 3-Formylrifamycin Sv O-(2-(2-Methoxyethoxy)Ethyl)Oxime
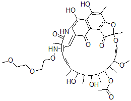
Molecular Structure CAS#: 52370-30-6, 3-[2-(2-Methoxyethoxy)Ethoxyiminomethyl]Rifamycin SV
Molecular Formula C43H58N2O15
Molecular Weight 842.94
CAS Registry Number 52370-30-6
SMILES C(ON/C=C2/C(=O)C1=C3C(=C(C4=C1C(=O)C(O/C=C/C(OC)C(C(OC(=O)C)C(C(O)C(C(O)C(C)\C=C\C=C(C(=O)NC2=C3O)\C)C)C)C)(O4)C)C)O)COCCOC
InChI 1S/C43H58N2O15/c1-21-12-11-13-22(2)42(53)45-33-28(20-44-58-19-18-56-17-16-54-9)37(50)30-31(38(33)51)36(49)26(6)40-32(30)41(52)43(8,60-40)57-15-14-29(55-10)23(3)39(59-27(7)46)25(5)35(48)24(4)34(21)47/h11-15,20-21,23-25,29,34-35,39,44,47-49,51H,16-19H2,1-10H3,(H,45,53)/b12-11+,15-14+,22-13-,28-20+
InChIKey BKBFANHTSBTHPL-OTGHOJKXSA-N
Market Analysis Reports
Related Products
4-[2-(2-Methoxy...  1-[2-(2-Methoxy...  4-[[2-(2-Methox...  2-[2-(2-Methoxy...  2-Methoxy[2-eth...  2[2(2-Methoxyet...  4-[2-[2-(2-Meth...  1-[[[[2-[2-[2-[...  [2-[2-(2-Methox...  2-[2-(2-Methoxy...  1-[2-(2-Methoxy...  {[1-(2-Methoxye...  2-[2-(2-Methoxy...  9-[2-(2-Methoxy...  9-[2-(2-Methoxy...  2-[2-(2-Methoxy...  1-[2-(2-Methoxy...  5-[[2-(2-Methox...  3-[[2-(2-Methox...  1-[2-(2-Methoxy...