Online Database of Chemicals from Around the World

3-[[[[(E)-3,7-Dimethyl-2,6-Octadienyl]Oxy]Imino]Methyl]Rifamycin Sv
[CAS 52437-59-9]

Suppliers
CAS#: 52437-59-9
Product: 3-[[[[(E)-3,7-Dimethyl-2,6-Octadienyl]Oxy]Imino]Methyl]Rifamycin Sv
No suppilers available for the product.
Identification
Name 3-[[[[(E)-3,7-Dimethyl-2,6-Octadienyl]Oxy]Imino]Methyl]Rifamycin Sv
Synonyms 3-Formylrifamycin Sv O-Geranyloxime; Brn 5418835
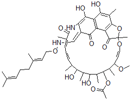
Molecular Structure CAS#: 52437-59-9, 3-[[[[(E)-3,7-Dimethyl-2,6-Octadienyl]Oxy]Imino]Methyl]Rifamycin Sv
Molecular Formula C48H64N2O13
Molecular Weight 877.04
CAS Registry Number 52437-59-9
SMILES C(ON/C=C2/C(=O)C1=C3C(=C(C4=C1C(=O)C(O/C=C/C(OC)C(C(OC(=O)C)C(C(O)C(C(O)C(C)\C=C\C=C(C(=O)NC2=C3O)\C)C)C)C)(O4)C)C)O)\C=C(\CCC=C(C)C)C
InChI 1S/C48H64N2O13/c1-24(2)15-13-16-25(3)19-22-61-49-23-33-38-43(56)36-35(42(33)55)37-45(31(9)41(36)54)63-48(11,46(37)57)60-21-20-34(59-12)28(6)44(62-32(10)51)30(8)40(53)29(7)39(52)26(4)17-14-18-27(5)47(58)50-38/h14-15,17-21,23,26,28-30,34,39-40,44,49,52-54,56H,13,16,22H2,1-12H3,(H,50,58)/b17-14+,21-20+,25-19+,27-18-,33-23+
InChIKey KBRHUIPJKIFPBG-XSXAILTASA-N
Market Analysis Reports
Related Products
(E)-3,7-Dimethy...  4-(3,7-Dimethyl...  (E)-2-((3,7-Dim...  (Z)-2-((3,7-Dim...  (Z)-3,7-Dimethy...  (E)-3,7-Dimethy...  (E)-[(3,7-Dimet...  [(3,7-Dimethyl-...  [{[(2E)-3,7-Dim...  (E)-5-((3,7-Dim...  4-[[(2E)-3,7-Di...  7-[(3,7-Dimethy...  (Z)-1-[(3,7-Dim...  (E)-1-[(3,7-Dim...  (Z)-[2-(3,7-Dim...  7-[(3,7-Dimethy...  1-[(3,7-Dimethy...  3-[(3,7-Dimethy...  6-{[(2E)-3,7-Di...  (2S,3R,4S,5S,6R...