Online Database of Chemicals from Around the World

Methyl 7,17-Bis(2-Methoxy-2-Oxoethyl)-3,8,12,13,18-Pentakis(3-Methoxy-3-Oxopropyl)-2-Porphyrincarboxylate
[CAS 531-42-0]

Suppliers
CAS#: 531-42-0
Product: Methyl 7,17-Bis(2-Methoxy-2-Oxoethyl)-3,8,12,13,18-Pentakis(3-Methoxy-3-Oxopropyl)-2-Porphyrincarboxylate
No suppilers available for the product.
Identification
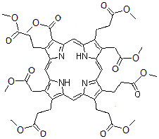
Name Methyl 7,17-Bis(2-Methoxy-2-Oxoethyl)-3,8,12,13,18-Pentakis(3-Methoxy-3-Oxopropyl)-2-Porphyrincarboxylate
Molecular Structure CAS#: 531-42-0, Methyl 7,17-Bis(2-Methoxy-2-Oxoethyl)-3,8,12,13,18-Pentakis(3-Methoxy-3-Oxopropyl)-2-Porphyrincarboxylate
Molecular Formula C48H54N4O16
Molecular Weight 942.96
CAS Registry Number 531-42-0
SMILES O=C(OC)CCC\1=C(\c3nc/1cc5nc(cc\2nc(/C(=C/2CC(=O)OC)CCC(=O)OC)cc4c(c(c(c3)n4)CCC(=O)OC)CCC(=O)OC)c(c5C(=O)OC)CCC(=O)OC)CC(=O)OC
InChI 1S/C48H54N4O16/c1-61-40(53)14-9-25-26(10-15-41(54)62-2)33-22-37-31(20-46(59)67-7)28(12-17-43(56)64-4)35(51-37)24-39-47(48(60)68-8)29(13-18-44(57)65-5)36(52-39)23-38-30(19-45(58)66-6)27(11-16-42(55)63-3)34(50-38)21-32(25)49-33/h21-24,49,52H,9-20H2,1-8H3/b32-21-,33-22-,34-21-,35-24-,36-23-,37-22-,38-23-,39-24-
InChIKey JXFYRPWVBHUVFB-BGKHBZPASA-N
Properties
Density 1.291g/cm3 (Cal.)
Boiling point 1155.454°C at 760 mmHg (Cal.)
Flash point 652.595°C (Cal.)
Market Analysis Reports
Related Products
N-Methylbis(Hep...  N-Methylbis(hyd...  Methyl 4-{4-[Bi...  1-Methyl-3,3-bi...  Methyl Bis(Hydr...  Methyl 2,2-Bis(...  Methyl Bis(4-Hy...  Methyl 3,4-bis(...  Methyl 2-[6-[Bi...  Methyl {[2-(2-{...  Methyl 3,5-bis(...  N'-Methyl-N,N-b...  Methyl 2-[5-[[(...  1-Methyl-3,5-Bi...  2-Methyl-N,N-Bi...  11-Methyl-N,N-B...  3-Methyl-4,5-bi...  4-Methyl-N,N-Bi...  3-Methyl-2,2-bi...  2-Methyl-N,1-Bi...