Online Database of Chemicals from Around the World

Saparal
[CAS 54692-41-0]

Suppliers
CAS#: 54692-41-0
Product: Saparal
No suppilers available for the product.
Identification
Name Saparal
Synonyms (2S,3S,4S,5R)-6-[[(3S,4Ar,6Ar,6Bs,8As,12As,14Ar,14Br)-4,4,6A,6B,11,11,14B-Heptamethyl-8A-[(3S,4R,5R,6S)-3,4,5-Trihydroxy-6-(Hydroxymethyl)Tetrahydropyran-2-Yl]Oxycarbonyl-1,2,3,4A,5,6,7,8,9,10,12,12A,14,14A-Tetradecahydropicen-3-Yl]Oxy]-3,4,5-Trihydroxy-Tetrahydropyran-2-Carboxylic Acid; (2S,3S,4S,5R)-6-[[(3S,4Ar,6Ar,6Bs,8As,12As,14Ar,14Br)-4,4,6A,6B,11,11,14B-Heptamethyl-8A-[Oxo-[[(3S,4R,5R,6S)-3,4,5-Trihydroxy-6-(Hydroxymethyl)-2-Tetrahydropyranyl]Oxy]Methyl]-1,2,3,4A,5,6,7,8,9,10,12,12A,14,14A-Tetradecahydropicen-3-Yl]Oxy]-3,4,5-Trihydroxy-2-Tetrahydropyrancarboxylic Acid; (2S,3S,4S,5R)-6-[[(3S,4Ar,6Ar,6Bs,8As,12As,14Ar,14Br)-4,4,6A,6B,11,11,14B-Heptamethyl-8A-[(3S,4R,5R,6S)-3,4,5-Trihydroxy-6-Methylol-Tetrahydropyran-2-Yl]Oxycarbonyl-1,2,3,4A,5,6,7,8,9,10,12,12A,14,14A-Tetradecahydropicen-3-Yl]Oxy]-3,4,5-Trihydroxy-Tetrahydropyran-2-Carboxylic Acid
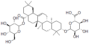
Molecular Structure CAS#: 54692-41-0, Saparal
Molecular Formula C42H66O14
Molecular Weight 794.98
CAS Registry Number 54692-41-0
SMILES [C@@H]15[C@]([C@]2(C(=CC1)[C@H]4[C@](CC2)(C(OC3O[C@H]([C@H](O)[C@@H](O)[C@@H]3O)CO)=O)CCC(C4)(C)C)C)(CC[C@@H]7[C@@]5(CC[C@H](OC6O[C@@H]([C@@H](O)[C@H](O)[C@H]6O)C(=O)O)C7(C)C)C)C
InChI 1S/C42H66O14/c1-37(2)14-16-42(36(52)56-34-30(48)27(45)26(44)22(19-43)53-34)17-15-40(6)20(21(42)18-37)8-9-24-39(5)12-11-25(38(3,4)23(39)10-13-41(24,40)7)54-35-31(49)28(46)29(47)32(55-35)33(50)51/h8,21-32,34-35,43-49H,9-19H2,1-7H3,(H,50,51)/t21-,22-,23-,24+,25-,26-,27+,28-,29-,30-,31+,32-,34?,35?,39-,40+,41+,42-/m0/s1
InChIKey YOSRLTNUOCHBEA-ATLBLLJHSA-N
Properties
Density 1.372g/cm3 (Cal.)
Boiling point 873.286°C at 760 mmHg (Cal.)
Flash point 255.646°C (Cal.)
Market Analysis Reports
Related Products
Santamarine;San...  Santene;Bicyclo...  Santenic acid;1...  Santicizer 148;...  Santicizer 711  (+)-Santolina A...  Santolina Chama...  alpha-Santonin;...  Sanumgerman;Pot...  Sapacitabine;CS...  Saperconazole;4...  Saphenamycin;6-...  Sapintoxin A;Be...  Sapintoxin C;Sa...  Sapitinib;4-(3-...  Saponaria Offic...  Saponin;Sapogen...  Saponin C, from...  Saponin QA 21V1...  Saponins