| Amadis Chemical Co., Ltd. | China | |||
|---|---|---|---|---|
![]() | www.amadischem.com | |||
![]() | +86 (571) 8992-5085 | |||
![]() | +86 (571) 8992-5065 | |||
![]() | sales@amadischem.com | |||
| Chemical manufacturer since 2010 | ||||
| chemBlink Standard supplier since 2015 | ||||
| Chengdu Biopurify Phytochemicals Ltd. | China | |||
|---|---|---|---|---|
![]() | www.phytopurify.com | |||
![]() | +86 (28) 8263-3860 8263-3987 | |||
![]() | +86 (28) 8263-3165 | |||
![]() | sales@biopurify.com biopurify@gmail.com | |||
![]() | QQ Chat | |||
![]() | Skype Chat | |||
| Chemical manufacturer | ||||
| chemBlink Standard supplier since 2017 | ||||
| Cfm Oskar Tropitzsch GmbH | Germany | |||
|---|---|---|---|---|
![]() | www.cfmot.de | |||
![]() | +49 (9231) 9619-0 | |||
![]() | +49 (9231) 9619-60 | |||
![]() | info@cfmot.de | |||
| Chemical distributor since 1985 | ||||
| chemBlink Standard supplier since 2022 | ||||
| Classification | API >> Nervous system medication >> Cholinergic |
|---|---|
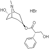
| Name | Anisodamine hydrobromide |
| Molecular Structure | ![]() |
| Molecular Formula | C17H23NO4.HBr |
| Molecular Weight | 386.28 |
| CAS Registry Number | 55449-49-5 |
| EC Number | 683-205-3 |
| Hazard Classification | |||||||||||||
|---|---|---|---|---|---|---|---|---|---|---|---|---|---|
| |||||||||||||
| Market Analysis Reports |