Online Database of Chemicals from Around the World

alpha1-16-Corticotropin
[CAS 5576-42-1]

List of Suppliers
Amadis Chemical Co., Ltd. China
www.amadischem.com
+86 (571) 8992-5085
+86 (571) 8992-5065
sales@amadischem.com
Chemical manufacturer since 2010
chemBlink Standard supplier since 2015
Interchim Inc. USA
www.interchiminc.com
+1 (800) 560-8262
info@interchiminc.com
Chemical manufacturer

Identification
ClassificationBiochemical >> Peptide
Namealpha1-16-Corticotropin
SynonymsACTH1-16
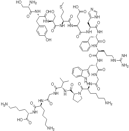
Molecular Structurealpha1-16-Corticotropin molecular structure (CAS 5576-42-1)
Molecular FormulaC89H133N25O22S
Molecular Weight1937.23
CAS Registry Number5576-42-1
Properties
Density1.47±0.1 g/cm3 (20 °C 760 Torr), Calc.*
*Calculated using Advanced Chemistry Development (ACD/Labs) Software V11.02 (©1994-2014 ACD/Labs)
Market Analysis Reports
Related Products
Corticosterone ...  Corticosterone-...  Corticosterone ...  Corticosterone ...  Corticosterone ...  alpha1-13-Corti...  (1-10)-Corticot...  alpha(6-24)-Cor...  Corticotropin (...  Corticotropin (...  alpha<sup>1-17<...  Corticotropin  Corticotropin-(...  Corticotropin-r...  Corticotropin-r...  Corticotropin R...  Corticotropin-(...  deltacortinene ...  Cortisol-9,11,1...  Cortisol Aceton...