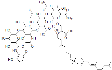
Identification
| Name |
Pholipomycin |
| Synonyms |
3-[[3-[3-Acetamido-5-[3-Acetamido-4-Hydroxy-6-(Hydroxymethyl)-5-[3,4,5-Trihydroxy-6-[(2-Hydroxy-5-Oxo-1-Cyclopentenyl)Carbamoyl]Tetrahydropyran-2-Yl]Oxy-Tetrahydropyran-2-Yl]Oxy-4-Hydroxy-6-(Hydroxymethyl)Tetrahydropyran-2-Yl]Oxy-6-Carbamoyl-4-Carbamoyloxy-5-Hydroxy-5-Methyl-Tetrahydropyran-2-Yl]Oxy-Hydroxy-Phosphoryl]Oxy-2-[(2E,6E,13E)-3,8,8,14,18-Pentamethyl-11-Methylene-Nonadeca-2,6,13,17-Tetraenoxy]Propanoic Acid; 3-[[3-[[3-Acetamido-5-[[3-Acetamido-4-Hydroxy-6-(Hydroxymethyl)-5-[[3,4,5-Trihydroxy-6-[[(2-Hydroxy-5-Oxo-1-Cyclopentenyl)Amino]-Oxomethyl]-2-Tetrahydropyranyl]Oxy]-2-Tetrahydropyranyl]Oxy]-4-Hydroxy-6-(Hydroxymethyl)-2-Tetrahydropyranyl]Oxy]-6-Carbamoyl-4-Carbamoyloxy-5-Hydroxy-5-Methyl-2-Tetrahydropyranyl]Oxy-Hydroxyphosphoryl]Oxy-2-[(2E,6E,13E)-3,8,8,14,18-Pentamethyl-11-Methylenenonadeca-2,6,13,17-Tetraenoxy]Propanoic Acid; 3-[[3-[3-Acetamido-5-[3-Acetamido-4-Hydroxy-6-Methylol-5-[3,4,5-Trihydroxy-6-[(2-Hydroxy-5-Keto-1-Cyclopentenyl)Carbamoyl]Tetrahydropyran-2-Yl]Oxy-Tetrahydropyran-2-Yl]Oxy-4-Hydroxy-6-Methylol-Tetrahydropyran-2-Yl]Oxy-6-Carbamoyl-4-Carbamoyloxy-5-Hydroxy-5-Methyl-Tetrahydropyran-2-Yl]Oxy-Hydroxy-Phosphoryl]Oxy-2-[(2E,6E,13E)-3,8,8,14,18-Pentamethyl-11-Methylene-Nonadeca-2,6,13,17-Tetraenoxy]Propionic Acid |
|
| Molecular Structure |
 |
| Molecular Formula |
C63H98N5O30P |
| Molecular Weight |
1436.46 |
| CAS Registry Number |
56092-18-3 |
| SMILES |
C(O)C2OC(OC1C(OC(=O)N)C(O)(C(OC1O[P](OCC(OC\C=C(\CC\C=C\C(CCC(C\C=C(\CCC=C(C)C)C)=C)(C)C)C)C(=O)O)(=O)O)C(=O)N)C)C(NC(=O)C)C(O)C2OC5OC(C(OC3OC(C(O)C(O)C3O)C(=O)NC4=C(O)CCC4=O)C(O)C5NC(=O)C)CO |
| InChI |
1S/C63H98N5O30P/c1-29(2)14-13-16-30(3)17-18-32(5)21-24-62(8,9)23-12-11-15-31(4)22-25-88-39(56(82)83)28-89-99(86,87)98-60-51(52(97-61(65)84)63(10,85)53(96-60)54(64)80)95-58-42(67-34(7)72)43(75)48(37(26-69)91-58)92-57-41(66-33(6)71)44(76)49(38(27-70)90-57)93-59-47(79)45(77)46(78)50(94-59)55(81)68-40-35(73)19-20-36(40)74/h12,14,17,22-23,37-39,41-53,57-60,69-70,73,75-79,85H,5,11,13,15-16,18-21,24-28H2,1-4,6-10H3,(H2,64,80)(H2,65,84)(H,66,71)(H,67,72)(H,68,81)(H,82,83)(H,86,87)/b23-12+,30-17+,31-22+ |
| InChIKey |
XYJIXNBDVDMTFA-NDHHYTBWSA-N |
|