Online Database of Chemicals from Around the World

19-Deoxy-15-Chlorojanerin
[CAS 62462-98-0]

Suppliers
Interbioscreen Ltd. Russian Federation
+7 (49) 6524-0091
screen@ibscreen.chg.ru
Chemical manufacturer
Identification
Name 19-Deoxy-15-Chlorojanerin
Synonyms [(3Ar,4S,6Ar,8S,9S,9As,9Bs)-9-(Chloromethyl)-8,9-Dihydroxy-3,6-Dimethylene-2-Oxo-3A,4,5,6A,7,8,9A,9B-Octahydroazuleno[4,5-B]Furan-4-Yl] 2-Methylprop-2-Enoate; 2-Methylprop-2-Enoic Acid [(3Ar,4S,6Ar,8S,9S,9As,9Bs)-9-(Chloromethyl)-8,9-Dihydroxy-3,6-Dimethylene-2-Oxo-3A,4,5,6A,7,8,9A,9B-Octahydroazuleno[4,5-B]Furan-4-Yl] Ester; 2-Methylacrylic Acid [(3Ar,4S,6Ar,8S,9S,9As,9Bs)-9-(Chloromethyl)-8,9-Dihydroxy-2-Keto-3,6-Dimethylene-3A,4,5,6A,7,8,9A,9B-Octahydroazuleno[5,4-D]Furan-4-Yl] Ester
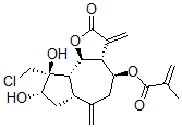
Molecular Structure CAS#: 62462-98-0, 19-Deoxy-15-Chlorojanerin
Molecular Formula C19H23ClO6
Molecular Weight 382.84
CAS Registry Number 62462-98-0
SMILES [C@@H]23[C@@H]1[C@H](C(=C)C(O1)=O)[C@@H](OC(C(=C)C)=O)CC([C@@H]2C[C@@H]([C@]3(O)CCl)O)=C
InChI 1S/C19H23ClO6/c1-8(2)17(22)25-12-5-9(3)11-6-13(21)19(24,7-20)15(11)16-14(12)10(4)18(23)26-16/h11-16,21,24H,1,3-7H2,2H3/t11-,12-,13-,14+,15-,16-,19+/m0/s1
InChIKey ONMAQPPVCANFPB-URUZQALBSA-N
Properties
Density 1.336g/cm3 (Cal.)
Boiling point 552.321°C at 760 mmHg (Cal.)
Flash point 287.833°C (Cal.)
Market Analysis Reports
Related Products
Deoxy Blebbista...  6-Deoxy-6-Bromo...  2-Deoxy-2-Bromo...  4-Deoxy-3'-Brom...  4'-Deoxybutiros...  Deoxycalyciphyl...  2'-Deoxycardiol...  3-Deoxy 3-Chlor...  2-Deoxy-2-(chlo...  (3alpha)-3-Deox...  2-Deoxy-2-chlor...  5'-Deoxy-5'-Chl...  5'-Deoxy-5'-Chl...  2'-Deoxy-2'-chl...  Deoxycholic Aci...  Deoxycholic Aci...  Deoxycholic aci...  Deoxycholyltyro...  4'-Deoxycirramy...  9-Deoxyclavulan...