Online Database of Chemicals from Around the World

Capreomycin IIB
[CAS 62639-90-1]

Suppliers
CAS#: 62639-90-1
Product: Capreomycin IIB
No suppilers available for the product.
Identification
Name Capreomycin IIB
Synonyms [(Z)-[(3S,9S,12S,15S)-15-Amino-9-(Aminomethyl)-3-[(4R)-2-Amino-3,4,5,6-Tetrahydropyrimidin-4-Yl]-2,5,8,11,14-Pentaketo-12-Methyl-1,4,7,10,13-Pentazacyclohexadec-6-Ylidene]Methyl]Urea; Capreomycin Ia, 1-De-(L-3,6-Diaminohexanoic Acid)-6-L-Alanine; Capreomycin Iib
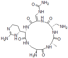
Molecular Structure CAS#: 62639-90-1, Capreomycin IIB
Molecular Formula C19H32N12O6
Molecular Weight 524.54
CAS Registry Number 62639-90-1
SMILES [C@H]1(NC(=NCC1)N)[C@@H]2NC(=O)\C(NC(=O)[C@@H](NC(=O)[C@@H](NC(=O)[C@@H](N)CNC2=O)C)CN)=C\NC(=O)N
InChI 1S/C19H32N12O6/c1-7-13(32)28-10(4-20)15(34)29-11(6-26-19(23)37)16(35)31-12(9-2-3-24-18(22)30-9)17(36)25-5-8(21)14(33)27-7/h6-10,12H,2-5,20-21H2,1H3,(H,25,36)(H,27,33)(H,28,32)(H,29,34)(H,31,35)(H3,22,24,30)(H3,23,26,37)/b11-6-/t7-,8-,9+,10-,12-/m0/s1
InChIKey MHBQQDNEPQYCOS-CBQPQWBASA-N
Properties
Density 1.818g/cm3 (Cal.)
Market Analysis Reports
Related Products
Capillarisin;5,...  Capillin;2,4-He...  Capilure;Polyco...  Capivasertib;4-...  Capnoidine;Furo...  Capoamycin;[6-(...  Capobenate Sodi...  Capobenic Acid;...  Capreomycin  Capreomycin IIA...  Capriblue;(7-Di...  Capriblue GN;(7...  Capric Acid-1-1...  n-Capric Acid n...  n-Capric Acid n...  Capric acid sod...  Capric/caprylic...  Caproic Acid-1-...  N-Caproic Acid ...  epsilon-Caprola...